HOME  .paradox  2.固有時)()()  3.一様加速)()  4.解決法)()  5.一般相対)()()()()  6.文献  目次付フレーム版

双子のパラドックスと一般相対性理論(リンドラー座標)

 一般相対性理論の導入として双子のパラドックスが良く取り上げられます。なぜこれが一般相対性理論と関係するのか説明します。

1.双子のパラドックスとは何か

 双子のパラドックスは、別稿「アインシュタインの特殊相対性理論」2.(6)2.[補足説明3]のメラーの説明や、「Born「相対性理論」第Y章」5.(4)、さらに江沢洋「相対性理論」§2.4.3ですでに引用説明しておりますのでそちらをご覧下さい。そこで、パラドックスは一般相対性理論により解決されると説明されています。その意味を本稿で詳しく説明します。

 

HOME  paradox  2.固有時(1)()()  3.一様加速)()  4.解決法)()  5.一般相対)()()()()  6.文献

2.固有時

)固有時とは

 一般相対性理論を構築する上で鍵になる概念は”固有時”です。いままで説明してきた“特殊相対性理論”に関係する稿においては、この固有時の概念は必要有りません。そのため特殊相対性理論関連の説明では特にその事を取り上げることはしませんでしたし、むしろ意識して避けてきました。
 しかし、一般相対性理論(互いに加速度運動をする系の間で成り立つ関係を議論する)には必要であり、有用な概念ですのでここで説明します。以下は文献1.の§11からの引用です。

 特殊相対性理論の段階での時間の概念は“座標的な観点”から考察されてきた。3つの空間座標と並んで、時間座標は事象を指定する役目を担ってきた。空間座標と同様に時間はある基準系に不可分に結びついており、同じ事象を記述する(x,y,z,t)であってもそれを観測する基準系が変わればローレンツ変換によって(x’,y’,z’,t’)に変換されるようなものであった
 しかし、物理現象は、単に座標的な観点から規定されるものではない。時間の概念も座標的な観点から規定されるものではない。十分に小さい物体が存在するとき、この物体の中で様々な物理現象が生じるが、これらの現象は時間の流れの中で進行する。それ故にこの物体にとっては、それに即した或る時間が存在しているし、その時間はその物体に取って一様にながれている。
 そのとき、考えている物体系が等速運動をしているならば、それと共に運動する特殊相対性理論で言うところの基準系を選ぶことが出来るし、この基準系の時間が今考えている物体系内部で通用する時間であることは明らかです。
 しかし、物体が今考えている基準系に対して静止しているのではなくて、任意の運動をしている場合は、その物体系での時間の進みは基準系の時間の進みと異なったものになる事を特殊相対性理論は明らかにした。このとき、先ほどの基準系とは異なった基準系から最初の物体系を見たならば、その物体系の時間の進みは最初の基準系から見たものとは異なったものになる。
 そのとき、基準系を取り替えれば、最初取り上げた物体系の時間の進みは違ってくるが、物体系の時間の進みは、外部のいろいろな基準系の時間に服従して流れるわけではなく、その物体系と共に流れる時間が存在するはずである。その時間をその物体の”固有時”または固有時間と言うことにする。
 もちろん、この固有時は、物体系の中で生じる物理現象の進行によって測るしかありませんし、その物理現象の進行そのものが時間の進みであると言えます。
 結局、あらゆる物体にはそれぞれに固有な時間が結びついている。この固有時は、その物体の運動を記述するのに用いる基準系とはなんら関係がない。従って、特に基準系が変わっても、固有時は変わらない。実際、今考えている物体に二つの事情が起こり、その間にこの物体に取り付けられた時計(たとえば原子の固有振動数などを利用して計測する)の針が10回転したとすれば、この事実は我々がこの物体をどの様な基準系から観測したかによって左右されません。どの様な基準系から見ようと針が10回転した事実はかわりませんので“固有時”は絶対的な量です

補足説明1
 別稿「ローレンツ変換とは何か[Einsteinのローレンツ変換導出法への補足]」3.(2)で説明したように、動いている物体(K’系)の時計が遅れて見えるのは、それを観測している座標系(K系)の時計を次々と取り替えながらそのK’系の時計の歩みを比較しているからでした。観測する座標系(K系)に並べてある時計の計時の開始時間は動いている物体(K’系)の時計の開始時間とは少しずつずれているのでした。だから遅れて見えるのです。
 そのために、逆に動いている時計(K’系)とともに動く座標系から(もとの静止系である)K系の時計を見るとK系の時計はK’系の時計よりもゆっくり進むように見えます。これは結局互いに相手の過去を見ているからその様になるのです。
 特殊相対性理論の範囲では、互いの原点がすれ違うときに、互いの原点にある時計の計時を開始してK系の時計とK’系の時計を合わせても、それ以後の時間で、その二つの時計の時刻を比較することは出来ませんので、以上のようなことが起こっても全く矛盾はありません。実際のところK系の時計もK’系の時計もそれぞれの系で見たときの時の流れは同じはずです。
 
 “固有時”については
   藤井保憲著「時空と重力」産業図書(1979年刊)第1章§5 “固有時と4元速度”(p29〜33)
   内山龍雄著「相対性理論」岩波書店(1977年刊)の第W章§14“相対論的運動学”(p88〜89)
   ランダウ、リフシッツ著「場の古典論(増訂新版)」東京図書(1964年刊)1章§3“固有時間”(p9〜11)
なども参照されたし。

 

HOME  paradox  2.固有時)(2)()  3.一様加速)()  4.解決法)()  5.一般相対)()()()()  6.文献

(2)固有時と座標時の関係

 そのとき、一つ一つの基準系と結びついた時間は、いままで特殊相対性理論で考察してきたように、座標時間といわれ、座標系が異なれば異なる相対的な時間です。特殊相対性理論によると、物体の固有時τと、その物体が速度vで動いている様に見える基準系Sでの時間 t は以下のような関係にあります。S系での座標が 1、t1 および 2、t2 であるような、二つの事象がこの物体に起こるとき、これらに対応する固有時の時刻を τ1τ2 で表せば

でした。これが等速直線運動の場合の固有時の間隔を表す式です。これを

を用いて変形すると

となります。

 つぎに、前記の基準系Sのx軸方向に速度vで動いている新たな基準系S’考える。つまり基準系Sから見て速度v動いている物体(この物体の固有時で測った時間がt’)と共に動く新たな基準系S’を考える。この新基準系S’系から見た座標値で最初の固有時間隔を表してみる。
 特殊相対性理論により、S’系とS系で(τ1とτ2で生じた)二つの事象を表す座標値は互いに以下の関係式で結ばれる。

これを用いると

となる。

 それゆえに、固有時間隔は最初の座標系Sによっても、新しい座標系S’によっても全く同じ式で表される。これは固有時間隔の表現式が基準系の取り方によらない事を示している。このように座標系が変わっても変化しないような量を“不変量”という。つまり座標時とは違い、固有時(の間隔)は不変量なのです。

補足説明1
 上記の“不変量”の意味は解りにくいので、別稿「ローレンツ変換とは何か[Einsteinのローレンツ変換導出法への補足]」3.(2)[補足説明1]で取り上げた“ミンコフスキー時空図”の上で説明します。
 ただし本稿のτと混同しないように、また本稿での表記に合わせるために、そこの座標値を t→ct、τ→ct’、ξ→x’で置き直します。図には静止系Sの座標軸xとct、およびSのx軸方向に速度v/c=0.25で移動する運動座標系S’の座標軸x’とct’が示されている。また、ct=一定、x=一定およびct’=一定、x’=一定の座標線からなる網目が記入してある。

 上図に赤線で記した世界線1-2を考察する。これは、S系のx軸あるいはS’系のx’軸に沿ってある一定の速度で移動する物体の世界線をS系およびS’系の時空図上に記したものです。このとき世界点1はS系で(x1,ct1)=(2,1)で、世界点2は同じくS系で(x2,ct2)=(2.5,2)で表される。
 これらのS’系での座標値はローレンツ変換により

であるから、S’系での世界点1(x’1,ct’1)=(1.8075,0.5164)で、同じく世界点2(x’2,ct’2)=(2.0657,1.4202)で表される。図中の網目を読み取れば、確かにその様な値が対応することが確認できる。
 そのとき、この物体の世界点1に於ける固有時をτ1世界点2に於ける固有時をτ2 とすると、前述の固有時間隔が“不変量”であるとは

を意味すると言うことです。もちろん、これらから同一の固有時間隔 c(τ2−τ1)=(0.75)0.5=0.8660・・・ が得られます。
 このことの意味は、上図赤線1→2が時間軸に平行になる様な座標系を考えると解りやすい。つまりその座標系上では点を示す時計がその座標系上のある位置に静止していると言うことです。すなわち、その座標系の距離軸をξ、時間軸をcτで表すと下図の様になる。

 ここでcτ軸赤線1→2平行にしなければ成りません。そのとき、ξ軸は別稿「ローレンツ変換とは何か」3.(4)[補足説明1]で説明した方法で引けばよい。またその座標系での網目の大きさは図中の尺度曲線に接する様にして引けばよい。その様にして引いたcτ=一定の座標線の間隔を読み取れば赤線1→2の固有時間隔は上記の cτ2−cτ1=0.8660・・・ であることが図の上からも読み取れます。
 ちなみに、ξ-cτ座標系はx−ct座標系に対してx軸の正方向にv/c=0.5で動いている座標系です。このことを用いて前記と同様な計算をしてみます。

 ここで注意して欲しいことは、どの座標系から見ようと図中の事象点における固有時や事象点における固有時を本文中で求めた《計算式によって》それぞれの座標系の《座標値から》計算できる事です。そのようにして求めた固有時は全ての座標系から見て同じ値に成ると言うことです。
 
 
補足説明1-2
 ここで事象を観測する座標系を x−ct系 に固定して、観測する事象(“世界線”)が下図の様に赤線1→2から赤線1→2’赤線1→2”に変わった場合を考えてみます。

 これらの新たな“世界線”に沿っての固有時の経過時間を計算してみます。
 以下の計算式中の 22 に付けたx’−ct’座標系の座標値を意味するのではなくて、あくまで x−ct座標系 での事象点2’と2”における座標値を意味することに注意して下さい。
 前述の固有時間の計算式に x−ct座標系 でのそれぞれの座標値を読み取って代入しますと

となります。
 これらの計算結果はとても教訓的です。“世界線”赤線1→2から赤線1→2’へ、さらに赤線1→2”に変わる事は、物体の移動速度がより速くなっている事を意味します。図から明らかなようにそれぞれの物体の(S系での)移動速度赤線1→2の場合(0.5/1)×c=0.5×c、赤線1→2’の場合(1/1.5)×c=0.6666×c、赤線1→2”の場合は(0.5/0.5)×c=cです。
 移動距離はいずれも同じ0.5です。そのとき移動物体の経験する固有時の経過時間はだんだん短くなっていることに注意して下さい。移動距離が同じで移動速度がだんだん速く成るのだから経過時間が短くなるのは当たり前だと思われるかも知れませんが、速度の増大を考慮した以上に短い固有時間で同じ距離を移動しています。実際“世界線”赤線1→2赤線1→2’で比較してみると

となるのですから。これが相対性理論では物体の移動速度が速くなるとその物体の時計(固有時)はゆっくり進むと言われている事柄です。
 “世界線”赤線1→2から赤線1→2’の変化とき、赤線1→2’が時間軸に平行になるような新しい慣性系に移動してみて、その慣性系での時間間隔を[補足説明1]と同様に計算してみてください。そうすると確かに上記の計算値に成っていることが解ります。
 さらに、“世界線”赤線1→2”に変わる場合その移動速度は光速cになります。実際のところ可秤量物体は光速で移動することはできませんから、これは光子の移動と考えて下さい。つまり光子はいくら移動しても光子の固有時の経過は 0 なのです。すなわち光子は歳を取らないのです(2.(3)[補足説明1]参照)。
 
 
補足説明1-3
 後で解りますが、この意味での“固有時”が、重力場の中ではたとえ静止していてもゆっくり進む事が解ります。つまり重力場中での固有時の計算式は上記とは異なるのです。そのことは5.(4)1.で示します。

補足説明2
 ここの話は、別稿「4元速度、4元加速度と4元力」1.(1)2.で説明した、四次元的な世界距離Δsを二乗した量が“ローレンツ変換”に対して不変となり

が成り立つと言ったことと同じです。

補足説明3
 同様に考えれば、別稿「アインシュタインの特殊相対性理論」2.(6)1.で出てきた式

0“固有長さ”であり不変量です。すなわちS系のx軸に沿って速さ で運動している棒の長さを とすれば、S系で測定した棒の長さ はローレンツ収縮を受けるが、 0 は基準系の取り方に依存しない。
 実際特殊相対性理論で動いている棒の長さが収縮して見えるのは、別稿「ローレンツ変換とは何か[Einsteinのローレンツ変換導出法への補足]」3.(2)[補足説明2]で説明したように、棒の先端の位置は過去の位置を、棒の後端の位置は未来の位置を指し示しているからです。4元時空の関係に於いてその様に収縮すると言うことであって固有の長さが縮んでいるわけではありません。
 別稿「4元速度、4元加速度と4元力」3.(1)で説明した“固有質量”3.(2)で説明した“固有電流密度”も同じような不変量です。

補足説明4
 [補足説明1]の説明を読めば、[補足説明3]の中に出てきた“固有長さ”の意味はすぐに理解できる。

 例えば上図の赤線1→2の事象に対応する“固有長さ”というものがあります。それはξ軸が赤線1→2平行に成るように取った座標系(その座標系で物体は静止している)での物体の長さの事です。その座標系に対して動いている座標系から見るとその物体の長さはそれぞれの座標系で異なった長さになりますが“固有長さ”が、そういった座標の選択によらない不変量であることは明らかです。
 後で解りますが、この意味での“固有長さ”が、重力場の中ではたとえ静止していても変化して短くなる事が解ります。
 
 ミンコフスキー時空上での固有時と固有長さを求める座標系の意味はなかなか解りにくいところです。この当たりは別稿
  「ランダウ、リフシュツ著「場の古典論」第1章§2の最後の“時間的”“空間的”の説明や
  「ミンコフスキーの4次元世界」2.(4)“時間の相対性と因果律”“未来圏(過去圏)”“間在圏”の説明
をご覧下さい。

 

HOME  paradox  2.固有時)()(3)  3.一様加速)()  4.解決法)()  5.一般相対)()()()()  6.文献

(3)固有時と基準系の関係

 物体が等速直線運動をしていない場合でも、固有時の間隔は前項と同じような方法で計算できる。このときは、上記の式τ2−τ1を時間的に接近した二つの事象に適用すればよい。このためには、運動する物体の道筋全体を十分に小さい区間に分け、これらの区間では物体の運動は一様であると見なして良いぐらいにしなければならない。すでに知られている式によって、これらの各区間上での固有時間隔を計算すれば、それらの微少な時間間隔を加えることによって全体の時間間隔が得られる。この計算は区間をちいさくするほど正確になる。このような全時間間隔は、区間の分割をますます細かくするときある値に限りなく近づくであろう。この極限値を求めれば全体の固有時間隔の正確な結果が得られよう。つまり、座標時の二つの時刻 t1 と t2 の間の、物体の固有時間隔は

で求められる。

 前出の固有時間隔を表す式

は、もともと限りなく接近した二つの事象だけに対して成り立つのですから、この式の座標の差は微分で置き換えるべきです。そのため、4次元時空における固有時間隔の2乗は

となる。

 “固有時”という概念は多くの点で時空の中の曲線の“弧の長さ”の様な概念です。時空の例として、たとえば地球の表面を考えて見る。地球の表面上の各点の位置は二つの座標値(緯度と経度)によって決められる。緯線と経線の取り方は地球表面の曲がり具合と結びついているが、緯線と経線の引き方は全く任意です。つまり現行の経線と緯線以外の違った網目を選ぶ事もできる。
 たとえば一つの座標線としてグリニッジを通る子午線面を取り、それに平行な平面で地球を輪切りにして、その分割平面と地球表面の交線(切断線)を新たな緯線とし、もう一つの座標線(経線)として前記の線に垂直な曲線群をとっても良い。この二組の座標線によって地球表面のあらゆる点の座標値は一意に定まる。しかし、その座標値は最初の緯線・経線の座標値とは全く異なったものになる。
 そのとき、地理学上の座標値は補助的な意味しか持っていない。たとえば東京と大阪の座標値の差で表されるその間の距離表現は、どの座標系を取るかで変わるが、その間の距離が600kmであるという事実は変わらない事を思えばその補助的な性格は了解できる。。
 ミンコフスキー時空の様々な基準系は事象の座標を決めるが、各々の基準座標系はそれぞれ独自の網目を持っているおり事象の座標値は基準系が異なれば違ってくる。そのとき、地球表面上の二点間の距離は変わらないのと同じ様に、ミンコフスキー時空中の世界線の微少な弧の長さで与えられる二つの事象の固有時間隔は座標の取り方によらず変わらない。つまり、網目の取り方(基準系の取り方)には依存しない。長さと固有時間隔の類似は本質的なもので、今日の幾何学的な考えによると、この二つの概念に原理的な差異はない。

 幾何学で知られているように、与えられた2点を結ぶあらゆる線のうち線分の長さが最小となるものがある。それと同じ性質が4元時空の2つの事象を結ぶ世界線に付いても言える。後で証明しますが、“二つの事象をつなぐ世界線が物体の等速直線運動によってつながれる場合の世界線に沿って積算した固有時間隔の積算値は、同じ2事象間をつなぐ他のあらゆる世界線に沿った固有時間隔の積算値よりも必ず大きくなる。”つまり、世界線に沿った積分の中で固有時間隔の積分値は、ユークリッド空間中の曲線に沿った積分の中で長さの積分に相当するもので、2点を結ぶ曲線の内でその長さが最小になる曲線があるように、ミンコフスキー時空の2点を結ぶ曲線(世界線)の内でその固有時間間隔が最大に成るものがある。
 最小と最大が入れ替わっていますが、それは3次元空間の幾何学はユークリッド的であるが、現実の4次元時空はユークリッド的ではないからです。大小の事情は逆ですが、この類似性は本質的です。

 上記の事柄を2.(2)[補足説明1−2]で利用した世界線図で確かめてみましょう。

 上図の事象点をつなぐ直線状の“世界線”が等速直線運動によってつながれた世界線です。それに対して事象点1→2’→2をつなぐ“世界線”に沿って移動した場合の固有時の経過量を計算してみます。

となります。
 驚くべき事に、1→2’→2の様に寄り道をして事象点2へ移動した方が固有時間の経過量は短いのです。つまり速くなったり遅くなったりの加速度運動をした方が、固有時間の経過は少ないのです。
 他の曲がりくねった世界線で事象点をつないでも、その固有時間の経過の積算値は事象点を直線でつないだ“世界線”に沿った固有時間の経過値よりも必ず短くなります。それは各経路ごとに同様な計算をすれば確かめることができます。
 事象をつなぐ任意の世界線はもちろん途中に光速度を越えたり過去に戻ったりする様な部分を含んでいてはいけません。世界線を描くときその様な物理的に意味のない状況に陥らないように注意して下さい。

補足説明1
 光の信号の世界線について、つまり光子の固有時間隔を計算してみよう。光子の移動速度vは常に光速度cだからこれを前出の固有時間隔の計算式

に代入すると、被積分関数はつねにゼロに等しいので固有時間隔はゼロになります。つまり光子は運動する際に自分の時間を全然費やさない。このことは2.(2)[補足説明1−2]の世界線赤線1→2”の例で説明しましたのでそこを復習して下さい。
 もちろん特殊相対性理論が示す様に光以外の可秤量物質が光速度で移動する事は出来ません。しかし光速度に近い速度で移動することはできます。たとえば、地球大気の高層で発生するμ粒子などは光速に近い速度で地表まで降り注ぎます。その様なμ粒子に取っては自分の固有時間をほとんど費やさないで大気の厚さ程度の距離を移動することが出来るわけです。
 μ粒子の移動速度が0.9998×c[m/s]程度とすると大気の厚さ20[km]=2×104[m]を通過するためには地球時間では7×10-5[秒]程度かかります。しかしμ粒子の固有時間はゆっくり進んでおりμ粒子の寿命である1.5×10-6[秒]程度しか経過していないのです。そのためμ粒子は崩壊する前に地上まで届く事ができる。[別稿「アインシュシタインの特殊相対性理論」2.(10)2.<2>を参照]

補足説明2
 上記の例と類似の話ですが、宇宙空間に静止している地球からロケットに乗って出発して、十分な速度と(3次元的に)十分に湾曲した円運動を描く世界線をたどって10年の間宇宙空間を旅して地球に帰還するとする。
 そのとき地球は止まっていますから4次元時空内に地球が描く世界線は等速直線運動の特別な場合の静止した状態が描く世界線です。これはあらゆる世界線の中で固有時間隔の積算値が最大のものですから、ロケットが地球から出発した事象点と再びロケットが地球に帰還した事象点のあいだに経過した固有時間間隔を地球の時計とロケットの時計で比較してみると、ロケットの時計よりも地球の時計の方が遙かに進んでいると言うことになります。
 そのとき、ロケットは円軌道を描いて周回しないと決して地球に戻れませんから、ロケットは円軌道の中心を向いた向心加速度運動を続けていますから、固有時の進みはゆっくりとなっているのです。
 これが、本稿で今から詳しく説明する“双子のパラドックス”“浦島効果”そのものです。

補足説明3
 ニュートンの運動の第一法則に“慣性の法則”があります。あらゆる物体は等速直線運動をしようとするという法則ですが、これは“あらゆる物体は固有時が最も早く流れる様な仕方で運動しようとする”と言っても良い。つまりあらゆる物体は出来るだけ早く老け込もうとする。
 慣性の法則のこの新しい定式化はとても奇妙ですが、この定式化の意義は定式化に於いて物体の運動を記述する特定の基準系を必要としない事です。この定式化は物理学の重要な原理の一つである“最小作用の原理”と直接に結びついている。
 ここまで来れば最も早く進む時間を示すのは静止している時計であり、運動する時計が遅れる事は明らかです。運動する為にはまず加速度運動をしないといけないのですから。そのとき基準系を運動する時計が静止して見える系にすれば、おそらくその時計の歩みは静止している時計の歩みと同じになるはずです。
 だから互いに等速運動する基準系のみを考えていたのでは[補足説明2]のロケットに積んだ時計の歩みを旨く知ることは出来ません。加速度運動した場合に時計の歩みがどうなるのかを調べる必要があります。このことを次章で説明します。

補足説明4
 この節では、自由な物質粒子の固有時の積算値

は、4次元時空に於ける積分の開始点aと終了点bを結ぶ積分経路(様々な積分経路・世界線が考えられる)に於いて、、その2点を真っ直ぐな世界線で結ぶ場合の積算値が常に最大となることを簡単な例を用いて説明しました。
 このことは一般的に証明することができます。ランダウ、リフシュツ著「場の古典論」§3 p9〜11で簡潔・明快に証明されています。以下で引用しますので、どうぞご覧下さい。



ここは別稿「ローレンツ変換とは何か[Einsteinのローレンツ変換導出法(1905年)への補足]」3.(2)[補足説明3]をご覧下さい。


 任意の等速直線運動(真っ直ぐな世界線)は必ずそれが静止しているような慣性系を選ぶ事ができるので、静止した時計の時間経過が最大であることが証明できれば十分であることに注意。
 また、上記注1)の“時間的になるようなもの”の意味は上記2.(3)の最後で説明した“事象をつなぐ任意の世界線はもちろん途中に光速度を越えたり過去に戻ったりする様な部分を含んでいてはいけません。世界線を描くときその様な物理的に意味のない状況に陥らないように注意して下さい。”を言っているに過ぎません。
 ここと同様な議論がPauli著「相対性理論」§24でも行われていますのでご覧下さい。

 

HOME  paradox  2.固有時)()()  3.一様加速(1)()  4.解決法)()  5.一般相対)()()()()  6.文献

3.一様に加速される運動

 ここも文献1.§12からの引用です。

)一定の力で加速される運動

.速度の時間的な変化

 相対性理論では、一定の力を物質に与えても加速度は一定とは成りません。それは物体の速度が増大するにつれて慣性質量も大きくなり、一定の力での加速量が次第に小さくなるからです。
 それにも関わらず、一定の力の元での物体の運動は、多くの点で加速度が一定の古典的な直線運動に似ており、等速度運動ではないものとしては或る意味で最も簡単な運動です。このような運動は古典的に一様に加速される運動よりも幾分複雑ですが、調べてみる価値はある。

 十分な燃料を積んだロケットが宇宙空間の重力作用が無視できるような所を飛んでいるとしよう。このロケットはエンジンが働いていない間は等速直線運動をするので、このロケットが静止しているような基準系を取ることが出来る。
 エンジンが働き始めると、ロケットは加速される運動を始める。このとき、エンジンの作動条件を調節して、ロケットに働く力は常に一定であるとする。このときロケットの質量は燃え尽きた燃料分だけ減少してゆくが、燃料の消費高は小さいと見なしてそのことによるロケットの質量変化は無視できるとする。あるいは、宇宙空間にごく僅かの濃度で存在する水素原子を拾い集めながらそれらを核融合させることで、ロケット燃料とすると考えても良い。
 ロケットに働く力が一定の場合にロケットの速さはどの様な規則に従って増加するか調べる。

 この疑問に答えるために、ひとまずエンジンは連続的ではなくて、断続的に働き、休止のあいだロケットは慣性によって運動するとするとする。なおエンジンによる間歇的な衝撃はいつも“等しい力”を持ち、“等しい時間間隔”で働くとする。
 最初の衝撃までのロケットの速さを 0 とする。さきに述べたように、ロケットが最初は静止しているような基準系Sをとることが出来るので、そのSに対して 0=0 である。
 最初の衝撃の後、ロケットの速さはある値“ε”だけ増すから

と書くことができる。 1 は最初の衝撃から2番目の衝撃までのあいだのロケットのS系での速さです。次の 2 は第2と第3の衝撃のあいだのS系での速さです。以下 3、v4、・・・・も同様です。
 第2の衝撃の後の速さは次のように考えればよい。第1の衝撃の後、ロケットは等速直線運動をしている。この時間の間(つまり第2の衝撃までの間)ロケットが静止しているような新しい基準系S1を取ろう。S1系における第1の衝撃までの状態と少しも変わらない。仮定によってエンジンの作動条件は一定に保たれているから、第2衝撃の後に1系でのロケットは、第1衝撃の後にS系で得たのと同じだけの速さεを得るであろう。“相対性理論による速度の合成法則”によって、S系での速さは

となる。
 次に第2衝撃の後にロケットが静止しているような基準系Sに移る。第3の衝撃はこの系ではロケットに速さεをあたえるであろう。再び我々の基準系Sにもどれば、次の関係が得られる。

 明らかに、この操作はその先も続けることができる。それ故に第n衝撃後のロケットのS:系での速さを vn とすれば、第(n+1)衝撃後のS系での速さは

となる。
 ここで、もう一度注意しますが、各衝撃力でロケットが得る速さ“ε”は、その瞬間ロケットが静止している基準系にある時計と物指し棒で測った時間間隔と移動距離で測定したものである事を忘れないで下さい。

 我々は衝撃は等しい時間に於いて継続すると規約したが、この時間間隔はロケットが静止している様な基準系で測った時間で“等間隔”であるとすべきです。このロケットが静止している基準系で測った2つの衝撃の間の時間間隔“β”とすると、次々に起こる2つの衝撃の間のS系での時間間隔は相対性理論によると

となる。ここで n(n=0,1,2,3,・・・) は第n衝撃がおこるS系での時刻です。最初の衝撃はS系での時刻 β に起こったと考えているから 0=0、t1=β です。したがって

と書くことができる。
 それゆえに、“ε”“β”に一定の値が与えられれば、一連のS系での速さと衝撃の時刻を順次計算することができる。時間を水平軸にとり、速さvを垂直軸に取れば、この断続的に増加する速さをグラフにあらわすことができる。

このとき、段階の高さは速度の合成法則に従って次第にちいさくなり、段階の水平方向の長さは時間のおくれの効果に対応して次第に大きくなっていく。この曲線は光速に等しい高さに引かれた水平線に近づくが決してそれを超えることはない。
 つぎに、速さの増分“ε”と衝撃の間の時間間隔“β”比(ε/β≡αと置く)が変わらないようにしながら衝撃力と間隔を細かくしていく。この極限が、エンジンが連続的に働く場合に相当するのは明らかです。
 その場合には曲線はなめらかになり下図の様になるであろう。

この場合の曲線の方程式は積分法によって求めることができて


となる。当然のことですが、上式で t→∞ とすれば v→c となることが解る。また αt≪c のときには v=αt となり古典力学の表式に移行する

補足説明1
 上記の計算で必要にな、S系に於けるロケットの速度とS’系に於ける加速度αとの関係式

は、別稿「4元速度、4元加速度と4元力」4.(1)で求めた二つの慣性系間の加速度の変換式を用いて求めることもできます。
 静止系Sに対してロケットに固定した座標系をS’とします。静止系Sの原点から出発して或る時間t(S系での時間)経ったときロケットの位置をx(t)とします。その瞬間のS系から見たロケット(S’座標系)の速度をVとします。
 上記の稿で求めたように慣性系(静止系)Sから見て速度v(t)、加速度a(t)で動いている物体を速度Vで動いている慣性系S’系(時刻tに於けるS’系はその瞬間に一定速度Vで動いているとみなせる)で観測すると、その加速度は

のように成るのでした。今はv’=v’、a’α(=一定)と置いています。さらに、S’系で加速度を考えている物体ははロケットそのものですから、x=vですし、V=vx=vと置けますので、上式は以下のようになります。

これを用いての以下の計算は前記を参照。

補足説明2
 ここの“v”は別稿「4元速度、4元加速度と4元力」2.(1)1.[補足説明1]で注意した(S系での)“3次元速度”であることに注意して下さい。
 また、ここの“ε/β≡α(=一定)”の“α”は、[補足説明1]で説明した様に別稿「4元速度、4元加速度と4元力」4.(2)で説明した“4元加速度”であり、ここで働く衝撃力はそこの“4元力”であることに注意して下さい。
 積αtが光速cに比べて小さい間は上式の分母は1に近いから、速さvは、ほぼ時間に比例して増え、古典的な様式に従う。しかし、速さvが増して光速cに近づくと分母が時間tの経過と共にいくらでも大きくなる。その為に速さの増加は非常に緩やかになる。このことはdv/dtの式からも読み取れます。
 このあたりは別稿「相対論的力学」4.(1)で説明したところですので、そこを復習されて下さい。そこの(13.2)式中の左辺の固有質量でありd/dt{v/(1-v2/c2)0.54元加速度です。右辺の 固有電荷です。また、x方向の電場のみが存在するときにはx方向の電場の強さはローレンツ変換に対して不変(この事は別稿§6参照)ですから、ε電荷と共に動く座標系から見た電場の強さであると見なすことができる。そこの(13.4)式を

と書き直して見れば、これは上記のvとtの関係式と全く同じであることが解る。

補足説明3
 一定な固有加速度(つまり一定な4元加速度)として地球表面の重力場での加速度とほぼ同じ10[m/s2]の場合のグラフを描いてみる。光速度c=3.0×108[m/s]とし、tとτの計測単位を秒[s]とすると

のようになる。
 1年は365.2422日×24×60×60秒/日= 31556926.08 秒ですから、3.16×107秒≒約1年だと考えて下さい。つまり1年間加速し続ければ光速の70%近くの速度になりますが、それ以後はいくら時間をかけても速度はあまり増大しません。

 

.ロケットの移動距離

 S系から見たロケットの速度 vS系から見た時間 t で積分すればS系から見た時間 t の間にロケットが移動する距離 x(t) が求まる。

 ここで、αt≪c のときには、平方根関数の近似式を用いると

となり、お馴染みの古典力学の関係式(二次関数[放物線])に移行する

 上式をS系の時空座標上のグラフで表してみよう。式を変形すると

となる。双曲線関数のグラフの描き方は高校数学で習うが、この双曲線の漸近線は

です。この漸近線はx軸とct軸がなす角の2等分線に平行な直線となるので“光の世界線”となる。
 そのためS系に於ける時空図でのロケットの世界線は

となる。これが時間の経過と共にロケットがたどる位置を示す。このような運動は双曲線運動と呼ばれるが、これは固有の物体に取って自分自身が“一様に加速される運動”を意味しています。

補足説明1
 上記のロケットの世界線は、ロケットと共に移動する基準系の時空図(S系のt-x平面に記したS’系の時空座標軸)のt’軸(ct’軸)を表している。このことは、後の5.(3)でさらに詳しく説明する。

 

.ロケットの固有時

 ロケットの固有時 τS系での時間経過 t の関係を調べてみる。それをするには2.(2)で説明した固有時の微分表現dτを t で積分すればよい。



補足説明1
 一定な固有加速度(つまり一定な4元加速度)として地球表面の重力場での加速度とほぼ同じ10[m/s2]の場合のτとtの関係を表すグラフを描いてみる。光速度c=3.0×108[m/s]とし、tとτの計測単位を秒[s]とすると

となる。
 これをtについて解いてtをτの関数として表したグラフは

となる。つまりロケットから見ると地球の時間は早く進むように見える。これは単にそう見えるだけなくて実際にその様に進んでいる。

補足説明2
 前記[補足説明1]のロケットの時計と地球の時計の比較を実際にどの様にするのか説明します。
 
 まず前半の地球から見たロケットの時計の遅れを確かめるのは以下の手順でやります。 地球とケンタウルス座α星までの宇宙空間に隙間無く時計を設置しておきます。そして、それらの時計の時刻を別稿「アインシュシタインの特殊相対性理論」1.(4)で説明した光を使う方法で合わせておきます。地球から離れている場所の時計までの光の往復にかなり時間がかかりますが、時間をかければ、その方法でS系に属するすべての時計の時刻を合わせることができます。
 それらの時計を用いて目の前を通過するロケットに積載されている時計の時刻を読み取るのです。もちろんその時点でのロケットの時計の歩みを宇宙空間に静止している地球時刻に同期した時計の歩み速度と比較するには、ロケットの中の一つの時計を宇宙空間に並んでいる時計の幾つかを経過させることで比較する必要があります。その様子は「ローレンツ変換とは何か」3.(2ょ[補足説明3]で説明していますのでそこを復習されて下さい。
 
 後半のロケットからみた地球の時計の進みを確かめるのは以下の手順でやります。先ほどと同じように地球とケンタウルス座α星までの宇宙間に隙間無く時計が設置されておりそれらは地球にある時計と同期して時を刻む様に時刻が合わせてあるとします。
 次にロケットの先端から後端まで隙間無く時計が配置されているとします。そしてロケット搭載の時計の時刻も別稿「アインシュシタインの特殊相対性理論」1.(4)で説明した方法で合わせておきます。もちろん地球に対するロケットの速度が変化するたびに、ロケット内部の時計の同時刻の合わせは頻繁にやり直しておく必要があります。もちろんロケット搭載の一つ(たとえば先端の時計)は時刻調整の基準として、飛行中の時刻調整はやりません。
 そしてロケット(の先端時計)目の前を通過するS系の宇宙空間に静止していて地球の時刻に同期している時計の時刻を比較することでロケットの旅程の各地点に於ける互いの時計の時刻を比較する。
 互いの時計の時の経過速度の違いを調べるには以下のようにします。ロケットの先端の時計が通過して、ロケットの後端の時計が通過するまでの間に宇宙空間に静止している時計の時刻の進み具合をロケットの先端が通過したときのそのロケット先端時計の時刻とロケットの後端が通過したときの後端に設置されている時計が示す時刻との差で比較するわけです。

補足説明3
 ここでは長々と丁寧に説明して導きました。同じ結論がランダウ・リフシュツ著「場の古典論」第1章§7末尾の[問題]で簡潔明瞭に導かれているのでご覧下さい。
 そのとき、あらかじめ別稿「4元速度(4元運動量、4元電流密度)、4元加速度と4元力」を読んでおかれる事を勧めます。

 

HOME  paradox  2.固有時)()()  3.一様加速)(2)  4.解決法)()  5.一般相対)()()()()  6.文献

(2)一定の力で減速される運動

 前節の結果は最初S系に対して静止していたロケットを徐々に加速していく場合のロケットの固有時とS系での時間経過との関係でした。本節では、最初S系に対して速度v0で飛行していたロケットがエンジンの逆噴射をして等加速度で減速していく場合のロケットの固有時τとS系での時間経過tとの関係を調べて見ます。

.速度の時間的な変化

  ここでも、エンジンは連続的ではなくて、断続的に働き、休止のあいだロケットは慣性によって運動するとするとする。なおエンジンによる間歇的な衝撃はいつも“等しい力(進行方向とは逆向き)”を持ち、“等しい時間間隔”で働くとする。
 前節のvの続きのn+1番目からはロケットエンジンは“逆噴射”となり減速衝撃が働くとするのです。逆噴射モードになる直前の(S系での)ロケットの速さを とする。基準系Sは前節の最初に述べた基準系を引き続き使用する。
 n+1番目の衝撃の後、ロケットの速さはある値εだけ減少するから

と書くことができる。 はn番目の衝撃からn+1番目の衝撃までのあいだのロケットのS系での速さです。次の n+1 は第n+1番目と第n+2番目の衝撃のあいだのS系での速さです。以下 n+2、vn+3、・・・・も同様です。
 第n+2の衝撃の後の速さは次のように考えればよい。第n+1の(逆)衝撃の後、ロケットはS系から見てvn+1で等速直線運動をしている。このときβ時間の間(つまり第n+2の衝撃までの間)ロケットが静止しているような新しい基準系Sn+1を取ろう。第n+2の衝撃までの間ロケットはSn+1系に静止している。仮定によってエンジンの作動条件は一定に保たれているから、第n+2衝撃の後にn+1系に静止していたロケットは、第n+1衝撃の後にSn系で減速(負速度を得ること)したのと同じ速さεだけ減速する(負速度を得る)であろう。n+1系はS系に対して速度vn+1でS系のx軸の正方向へ運動している。このときSn+1系からみた速度が−εのとき、それをS系から見たときの速度は、相対性理論による速度の合成法則によって、

となる。
 次に第n+2衝撃の後にロケットが静止しているような基準系Sn+2に移る。第n+3の衝撃はこの系ではロケットに速さεの減速をあたえる(負速度を得る)であろう。再び我々の基準系Sにもどれば、次の関係が得られる。

明らかに、この操作はその先も続けることができる。それ故に第n+m衝撃後のロケットのS:系での速さを vn+m とすれば、第(n+m)衝撃後のS系での速さは

となる。
 ここで、もう一度注意しますが、各衝撃力でロケットが減速される速さ“−ε”は、その瞬間ロケットが静止している基準系で測った時間間隔と移動距離で測定したものである事を忘れないで下さい。

 我々は衝撃は等しい時間に於いて継続すると規約したが、この時間間隔はロケットが静止している様な基準系で測った時間で“等間隔”であるとすべきです。このロケットが静止している基準系で測った2つの衝撃の間の時間間隔“β”とすると、次々に起こる2つの衝撃の間のS系での時間間隔は相対性理論によると

となる。ここで n+m(m=0,1,2,3,・・・) は第n+m衝撃がおこるS系での時刻です。したがって

と書くことができる。
 この減速の場合の速度の時間的変化は



となる。

補足説明1
 一定な固有加速度(つまり一定な4元加速度)として地球表面の重力場での加速度とほぼ同じ10[m/s2]の場合のグラフを描いてみる。光速度c=3.0×108[m/s]とし、tの計測単位を秒[s]、速度vの単位を[m/s]とする。
時間の初期値 n として3.(1)1.[補足説明1]のグラフの最終端 t=2.0×108[s]を取ると

となり、t=0〜tn と完全に対称的になる。
 1年は365.2422日×24×60×60秒/日= 31556926.08 秒ですから、3.16×107秒≒約1年だと考えて下さい。

 

.ロケットの世界線

 前項のv−tグラフから明らかなように t=tn 以後のロケットの世界線を描き加えると下図の様になる。

 

.ロケットの固有時

  ロケットの固有時 τS系での時間経過 t の関係を調べてみる。それをするには2.(2)で説明した固有時の微分表現dτを t で積分すればよい。

補足説明1
 一定な固有加速度(つまり一定な4元加速度)として地球表面の重力場での加速度とほぼ同じ10[m/s2]の場合のτとtの関係を表すグラフを描いてみる。光速度c=3.0×108[m/s]とし、tとτの計測単位を秒[s]とする。
 t=2.0×108〜4.0×108[s]の部分のτ(t)のグラフを描いてみると下記のようになる。

 

HOME  paradox  2.固有時)()()  3.一様加速)()  4.解決法(1)()  5.一般相対)()()()()  6.文献

4.双子のパラドックスの解消

)ケンタウルス座のα星までの往復旅行における浦島効果

 地球に最も近い星の一つであるケンタウルス座のα星は4.28光年の距離にある。光は1年間に9.461×1015[m]進むから、この距離は4.050×1016[m]に当たる。我々はこの星まで飛んで行き、地球へ戻ってくるとする。時間を稼ぐために絶えず加速される運動をしよう。このような飛行が技術的に可能であるか否かの問題には触れないでおこう。人体に過度のショックを与えないために、宇宙線の加速度は地球表面上での重力加速度にほぼ等しい10[m/s2とする。

 全行程を、往路の前半部までの初期の推進区間、完全に停止するまでの制動区間、反対向きの推進区間および地球に帰着するまでの制動区間の4つの部分に分ける。第3章で調べたように加速度運動と減速運動とによって生じる時計の遅れは等しい事が解っているので、これらの4つの区間での運動のあらゆる条件は完全に同じである。それ故に4分の1行程の1つだけを調べて、得られた飛行時間の値を4倍すれば、旅行者の時の経過が計算できる。

 前章3.(1)で調べたように、一様に加速される運動のときの速さv、距離x、固有時間τは次の様に表される。

ここで、 は地球にある時計の時刻であり、 は地球からの距離です。
 さらに下記の関係が成り立つ。

 ケンタウルス座α星までの距離の2分1は 2.025×1016[m]であり、α=10[m/s2だから

となる。それ故に、ケンタウルス座α星までの往復行程をすませるには、地球の住人から見て2年11月の4倍の約11年9月かかることになる。

 一方ケンタウルス座αまでの中間点(全旅程の4分1行程)までにかかる旅行者の固有時は

となる。それ故に、ロケットの搭乗者に取ってこの往復行程の所用時間は1年9月の4倍の約7年となる。

 つまり、ロケットの搭乗員が7年の宇宙旅行を終えて再び地球に帰還してみると、地球に留まっていた住人の時間は11年9月過ぎていた。地球の住人はロケットの搭乗員よりも約4年9月だけ余分に歳取っていたのです。これは童話「浦島太郎」の中で、龍宮城から故郷に帰ってきた浦島太郎が経験することと同じで“浦島(ウラシマ)効果”と言われる現象です。

 

HOME  paradox  2.固有時)()()  3.一様加速)()  4.解決法)(2)  5.一般相対)()()()()  6.文献

(2)旅程の詳細

 前節の宇宙旅行に付いてもう少し補足すると、ロケットの速さの最大値は往路および復路の中間点で達成される。それは

となる。つまり地球表面での重力加速度とほぼ同じ10[m/s2]で加速を続けると、2年11月後には光速の95%程度の速度に到達する。

 ケンタウルス座α星までは光の速度で4.28年かかるが、今考えているロケットでは2年11月の2倍の約5年10月かかる。そのときすでに説明したように光子の固有時は経過しないので、光に取っては瞬時にこの距離を移動した事になりますが、ロケットの搭乗者に取っては1年9月の2倍の約3年6月を要したことになります。
 光で4.28年かかるところが、ロケットの搭乗員に取っては3年6月で到着できたのは奇妙に思えるかも知れませんか、それぞれの固有時と地球の静止系(S系)での時間経過とを混同しないで下さい。地球時間ではロケットがケンタウルス座α星に到着するのは約5年10月後ですから光よりも時間がかかっています。

 ロケットの速度が光速の95%にも達すると地球(S系)から見たロケットの慣性質量(燃料の質量の減少を無視しての話ですが)は出発時の質量m0

に成っています。
 しかし、ここで用いているのは別稿「4元速度、4元加速度と4元力」5.(4)で説明した4元運動方程式に於ける4元加速度と4元力の関係式ですから、運動方程式中の質量は地球出発時の質量(燃料質量の減少を無視する限りにおいて)m0で良いことに注意してください。ロケットが静止して見える座標系でのロケットの質量はあくまで一定不変の固有質量m0ですし、4元力 f の衝撃力で生じる4元加速度α はあくまで α=f/m0 で計算できます。このあたりは3.(1)1.[補足説明2]の説明を復習されて下さい。

 地球時間で見たときのロケットの速度の時間的変化は次のグラフで表される。

 地球時 とロケットの固有時 τの関係をグラフで示すと下図の様になる。ロケットの速度が遅くなると固有時の進みは地球時の進みに近づいて来ることに注意されたし。
 下図に示したのロケット固有時と地球固有時の比較は3.(1)3.[補足説明2]で説明したように、あらかじめ地球からケンタウルス座α星まで等間隔で隙間なく配置されている地球の時計に同期している時計群と往復旅程途中のロケット時計の読み取り値を比較することでやります。
 そうすればロケット積載時計の進み具合が、ロケットの地球座標系に対する速度の変化に応じてグラフの様に変化することが確認できるでしょう。

 地球に固定した座標系の時空図上での地球とロケットの世界線は下図の様になる。ただしここでは縦軸を ct ではなく で表している。

 それぞれの世界線に沿ったそれぞれの固有時の積算値は(地球時で)11年9月と(ロケット時で)7年となります。ロケットの方が世界線は長いのに固有時の積算値は短くなることに注意して下さい。
 その積算の仕方は2.(2)[補足説明1−2]あるいは2.(3)で説明したやり方で“世界線”の微小距離に沿って計算したものを全経路に渡って加え合わせることです。
 実は、3.(1)3.3.(2)3.でやった積算計算はそれを実行していたのです。

 

HOME  paradox  2.固有時)()()  3.一様加速)()  4.解決法)()  5.一般相対(1)()()()()  6.文献

5.双子のバラドックスと一般相対性理論

)双子のパラドックスの特殊相対性理論による説明から重力の理論へ

 世の多くの解説書で、双子のバラドックスは特殊相対性理論で完璧に解決できると言われています。実際前章までの考察で完璧に説明できていますから、確かに“特殊相対性理論で双子のバラドックスは解決できます”

 それでは何故この説明がパラドックスと言われるのでしょうか。それは相対性理論によるとロケットの搭乗者に取って動くのは地球であり地球が加速度運動で遠ざかり、さらに減速して停止しさらに逆向きに加速しそして減速してロケットの位置に帰ってくるのと同じであると考えることができるからです。
 ならばロケットが静止しているこの過程について上記の考察を繰り返せば、上述のように動いてきた地球の住人と静止していたロケットの搭乗員が再び出会ったとき、より歳取っているのは地球とともに動いていた地球の住人ではなくてロケットの中に静止していた搭乗員となる。
 これは地球が静止していてロケットが動くとして得られるた結論と矛盾する。

 アインシュタインはこのことの意味を深く考えます。そして、一見するとパラドックスの様にみえる原因は両方の過程を同じものと見なすことにあるのであって、両方の過程は根本的に違うものだと気づきます。
 本当の過程は地球が動くのではなくて、ロケットが加速されて減速されてやがて地球に戻ってくるのです。そのときアインシュタインは“ハッ!”と気づきます。それが別稿「運動方程式のローレンツ変換不変性」3.(2)で引用した事柄です。
 
 アインシュタインは1922年12月14日の京都講演で語っています。
『・・・・・・・・・・・・
 丁度1907年にシュタルク氏の委嘱を受けて彼の主宰せる《放射学及び電子学年報》に特殊相対性理論の諸結論をまとめて書こうとしたときに、すべての自然法則が特殊相対性理論によって論じ得られる間に、ただひとり万有引力の法則にはこれを応用することのできないのを認めて、どうにかしてこれの論拠をも見出したいということを深く感じました。しかし私は容易にこの目的を達することが出来なかったのです。
 そのなかで私の最も不満足に思ったのは、惰性とエネルギーとの関係が特殊相対性理論によって見事に与えられるにも拘わらず、これと重さとの関係、即ち重力の場のエネルギーとの関係が全く不明に残されなければならないことでありました。おそらくはこの説明は特殊相対性理論によっては到底達しえられないものであることを私は思っていました。
 私はベルンの特許局で一つの椅子に座っていました。そのとき突然一つの思想が私に湧いたのです。
 『或るひとりの人間が自由に落ちたとしたなら、その人は自分の重さを感じないに違いない』
 私ははっと思いました。この簡単な思考は私に実に深い印象を与えたのです。私はこの感激によって重力の理論へ自分を進ませ得たのです。私は考え続けました。
 『人が落ちるときには加速度をもっている。この人間が判断することがらは即ち加速度のある体系に於けるものにほかならない』と、そこで私は単に一様な速さで動く体系ばかりでなく、加速度をもつ体系へまで一般に相対性理論を拡張しようと決心したのでした。そして、そこでは同時に重力の問題を解くことが出来るであろうことを予想しました。なぜならば、落ちてゆく人間が重さを感じないのは、そこに地球重力のほかに新たにこれを打ち消す重力の場をもつからであると解されるからです。即ち加速度をもつ体系では新たに重力の場を要求するものであるからです。
 しかし私はこれからすぐに問題を完全に解決することは出来ませんでした。実際の関係を見出し得るまでには私はなお8年を要したのです。ただそれ含むような少々一般的の基礎はすでに幾分かその以前に私に知られました。
・・・・・・・・・・・・』

 アインシュタインは、この事のもう少し詳しい内容を(出版されることはなかった)モーガン原稿(1920年)に書き残しています。そちらも参照されたし。
  
 彼が講演で語っている様に[加速度運動している事][重力場中に静止している事]は区別できない。ならば(加速度運動しているロケットの時計が遅れる様に)物体が重力場の中に静止して存在するだけで、その物体の固有時の進みはゆっくりにならねばならない。さらに(加速度運動をするロケットの中の物差し棒が縮む様に)物差し棒は重力場の中に静止して存在するだけで縮むに違いない。”この気付きは彼にとって実に深い印象を与えた。
(補足しますと、Einsteinは初期の段階(1907年頃)では、重力場中で物指し棒が縮むことまでは思い至らず、時間の進みがゆっくりに成ることだけ気付きます。重力場中での空間のゆがみに気付くのはもう少し後になってからです。)
 
 すなわち、上述のロケットが静止していて地球が加速度運動する過程は、ロケットが重力場の中に静止していて、地球がその重力場の中を自由落下(あるいは自由上昇)していると考えねばならない。つまり、この過程は無重力の宇宙空間に地球が静止しておりロケットが動く場合とは全く異なる過程なのです。
 だからロケットが静止していると考える為には、ロケットはある重力場の中に静止しているとしなければ成らない。そして重力場中に静止して存在するロケットの時計の歩みはゆっくりになる。またロケットから遠ざかったり、近づいたりする地球は、ロケットが静止している重力場の中を自由落下あるいは自由上昇することで、ロケットから遠ざかったり近づいたりしているのだと考えなければならない。もちろん地球がやがて減速を初めて一瞬静止して方向を変え地球に向かって加速されるときには、ロケットは最初の重力場とは逆の勾配の重力場の中に静止していると考え、地球はその逆向きの重力場の中を
自由上昇しさらに自由落下してロケットの位置に向かっているとしなければなりません。また地球の位置との関係で、ロケットの存在する重力場の深さも異なると考えねば成りません。
 いずれの場合にも、重力場を自由落下あるいは自由上昇する地球は、重力場が存在しない宇宙空間を等速直線運動しているのと同じで、地球の時計の歩みは最大の速さで進むと考えねばならない。これがアインシュタインが気付いた事です。

 
 つまり、アインシュタインは「特殊相対性理論をもっと一般的な加速度運動をする基準系にまで拡張するには、重力の問題を取り扱わねばならない。また、上記の重力場中での物質の性質(時空の性質と言っても良い)を理論の中に取り込めば重力に対する正しい運動方程式を見つけることができるだろう。そして、一般相対性原理を満たす真に正しい物理法則を見つけることができるだろう。」と気付いたのです。
 この当たりの事情についてアインシュタインは「自伝ノート(1947年)」の第5段落でもう少し詳しく説明していますのでご覧下さい。最晩年に書かれた「自伝スケッチ(1955年)」の後半の方がさらに解りやすいかも知れません。

 しかし、その理論体系は数学的にきわめて難解なものになることはすぐに予想できます。なぜなら本稿で考えたような一様の加速度を生じる重力場は現実には存在しません。どの様に質量を配置してみてもその様に簡単な重力場は作り出せません。
 重力場として典型的なのは、球対称な質量(エネルギーと言っても良い)分布によって生じるニュートン力学に於ける中心力場の様な球対称な場です。そのとき、その様な重力場の中に物体が存在するだけで物体の固有時間の歩みは遅くなり、物指し棒の長さは縮むのです。さらに、重力場中の場所に応じて時の進みは異なり、物指し棒の縮む量も異なります。つまり重力場中の時空は特殊相対性理論に於ける直線的で互いに直交したユークリッド幾何学的なミンコフスキー時空ではなくて、質量の存在により非対称に歪んだリーマン幾何学的な時空になります。
 この4次元時空の取り扱いはきわめて難しいものになるでしょう。物体(エネルギー)の存在そのものが時空の歪みを生み出すのですから。

 我々素人でも一般相対性理論を構築することの難しさが解ります。いずれにしても、それを記述する数学、及び方程式はきわめて複雑なものになるだろう。アインシュタインは、一般相対性原理を満たす正しい理論形式を発見(1915年)するまでに、さらに8年の歳月を要することになる。

補足説明1
 上記の[加速度運動している事][重力場中に静止している事]は区別できない。”について補足します。
 このことは加速度運動している系に静止している物体に働く“慣性力”が、重力場に静止している物体に働く“重力”と同じだということを意味します。
 別稿「慣性力」で説明したように、“慣性力”とは“質量が慣性をもつために現れる見かけの力”のことです。慣性とは「止まっているものは止まりつづけ、等速度で動いているものは等速度で動き続けようとする性質」のことです。この性質を表す量が、ニュートンの運動の第2法則に現れる、物体が加速度運動するときに「働く力」と生じる「加速度」の比例関係を表す比例定数です。その比例定数のことを“慣性質量”と呼んでいます。
 一方、万有引力の法則にに現れる、物体に働く力の大きさを表す比例定数がその物体の“重力質量”と言われるものです。
 慣性質量と重力質量は本来全く異なった物理法則(「運動の第2法則」と「万有引力の法則」)により定められるものです。そのとき、二つの等式(法則)の一辺に現れる「慣性力」と「重力」が、アインシュタインが看破したように全く同じものであれば、「慣性質量」と「重力質量」は全く同じものである事になります。
 
 だから、1933年の講演「一般相対性理論の起源について」の中で『・・・後に知る様になったにすぎなかったところのエトヴェシュの見事な実験の結果は知らなくとも、その法則の確かな有効性には何等疑問も持たなかった。・・・』と言っているのです。
 もちろん、アインシュタインはそれ以前に行われた、このことを実証するガリレオの“落体の実験”(あらゆる物体は同じ様に落下することを確かめた実験)やニュートンの“振り子の実験”は知っていたでしょう。
 
 このことはとても重要なのですが、その意味は解りにくいので、《ジューコフ文献1の説明》と、《矢野文献3.の説明》、さらに《フライシュ文献4.の説明》を別稿で引用しておきますのでご覧下さい。
 これらの説明の中に出て来る“等価原理”とは、元々『重力が存在するところにある“小さな”自由落下する基準系と、重力のないところにある慣性系とが等価である』ことを主張するものです。これはとりもなおさず『慣性力が重力と等価である』ことを意味し、『慣性質量が重力質量と同じである』ことを意味します。

補足説明2
 現在(2015年)では重力場中の場所の違い(わずか数十cm程度の高度差)で時間の進度が異なることを直接測定できる時計が実現している。
 それは1982年にアメリカの物理学者ハンス・デーメルトが提唱した単一イオン光時計の考え方を利用して、香取秀俊氏(理化学研究所)が2001年に発明し、2014年に実用化した“光格子時計”です。詳細はリンク先の記事をご覧下さい。
 
 さらに補足しますと、高度差が数千mも有れば、一般相対性理論による時間の進度の違いを直接測定できる時計(セシウム原子時計)が実現したのは、1960年代です。このことにつきましては、別稿第3章“歪んだ時空”3-4“原子時計を使った測定”をご覧下さい。つまり、上記の光格子時計はセシウム原子時計の精度を1000倍程度向上させた時計と言うことです。
 
【2025年3月5日追記】
 島津製作所は5日、100億年で1秒ほどの誤差しか生じないとされる超高精度の「ストロンチウム光格子時計」の受注販売を始めたと発表した。これまで「1秒」の定義に使われてきたセシウム原子時計よりも100倍以上の精度があるという。販売希望価格は5億円で、3年で10台の販売を目指す。
 レーザー光で作った格子状の空間にストロンチウム原子を閉じ込め、振動を測定する。セシウム原子やマイクロ波を使って時間を計測していた従来方式に比べ、精度が100倍以上に高まるという。
 島津製作所は2017年から東京大学大学院工学系研究科の香取秀俊教授などと光格子時計の研究に取り組んできた。時計の構造を工夫したことで体積を約250リットルと、研究施設などで活用しやすい大きさまで小型化した。大学や研究機関に売り込む。場所ごとに重力のわずかな違いによる時間の変化などを検知できるため、火山活動による地殻の変動を計測するなどの活用法があるとみている。
"https://www.shimadzu.co.jp/news/2025/-oqneexd8997ms8u.html

補足説明3
 先ほど説明した“測地線方程式”“重力場方程式”の関係について補足します。
 まず最初に強調したいことは、こういった自然現象を表す法則・方程式は、その正しさが何か別のより根源的な原理から証明されるとか、導き出せる、といったものでは無いことです。だから、測地線方程式や重力場方程式が、これこれのように表されるといっても、それが正しいのか間違っているのかを判定する理論的な根拠などどこにもないのです。
  例えばニュートンの“万有引力の法則”が 力∝1/r で表されるといっても、それが正しい根拠を示す論理的理由など何処にもないのです。力∝1/r2.1 でも良いし 力∝1/r1.9 かも知れません。正しさは自然現象を観測することによってしか判定できませんし、保証されません。それは、ニュートンが発見した“運動の法則” F=ma の正しさについても同様です。
 すなわち、“運動の法則”“万有引力の法則”が何故正しいのかを誰も説明できないのと同様に、Einsteinの論文をいくら読んでも“測地線方程式”“重力場方程式”が何故正しいのかは何処にも書いてありません。ただこれらが正しい法則であろうと推測できる理由が書かれているだけです。
 つまり、法則・方程式の正しさを保証し証明するのは実験・観測事実しか無いのです。
 
 ところで、ニュートン理論における“楕円軌道の発見”“運動の法則”“万有引力の法則”とはどういった関係かといいますと、運動の法則により、万有引力の法則が正しく自然の摂理を表していることを確認することができ関係式を導く事ができる。つまり、万有引力の法則に運動の法則を適用することで、万有引力を受けて特定の質量(太陽)の周りを運動している惑星は楕円運動をすることが導け、そして惑星が楕円運動をすることは自然現象の観測によって確かめる事ができます。それで逆に万有引力の法則も運動の法則も正しいことが確認できるという様な関係です。
 実際、ニュートンの『プリンキピア』を読んで見ても、《惑星の運動形態の解明》と、《運動の法則の発見》と、《万有引力の法則の発見》は、その様に互いに絡み合い、混沌の中から同時に浮かび上がるようにして発見されることが解ります。
 だから、アインシュタインに取っても、《一般相対性理論を検証する古典的3現象》と、《測地線方程式》と、《重力場方程式》は混沌の中から同時に浮かび上がるようにして発見されたのです。すなわち、Einsteinに取って水星の近日点移動の異常や、日食時の星位置の変化や、恒星表面からのスペクトル線の赤方偏移などの現象と、測地線方程式と、重力場方程式は同時に絡み合って浮かび上がり、発見されたのだと思います。
 
 そのとき、困難を極めたのは、それらの法則を記述するのに、ニュートンの用いた数学とは比較にならないほど複雑な数学が必要だったということです。
 アインシュタインはその数学を求めてもがき苦しみますが、幸いなことにその数学は ガウス → リーマン → クリストッフェル → リッチ、レビィ・チビタ 等々によりすでに作り上げられていたのです。グロースマンとアインシュタインはその数学の存在に気付くことができて、その数学の威力を存分に利用することができたのです。

 

HOME  paradox  2.固有時)()()  3.一様加速)()  4.解決法)()  5.一般相対)(2)()()()  6.文献

(2)慣性系と非慣性系

 特殊相対性理論では“等速直線運動”をするような基準系だけを使ってきた。この条件をもう少し詳しく調べてみる。まず、等速直線運動とはどの様なものなのだろうか。ある物体の運動は他の物体に対して初めて考えることができるのだが、我々の基準系はどのような物体に対して等速直線運動をしているのだろうか?
 この問題は“慣性の法則”ときわめて密接に結びついている。力が働いていない物体は等速直線運動をする。この運動は、いったいどの様な物体(つまり基準系)に対して考えれば良いのだろうか? 上方に投げられた石ころは落下するとき地球に対しては速さを変えながら運動する。しかし、自然落下する他の岩石に対しては、この石ころは等速直線運動をしている。だから、一定の基準系を指し示さなければ慣性の法則は意味を成さない。
 ニュートンはこの問題について『プリンキピア』の中ではっきり述べている。彼はある“絶対空間”が存在しており、あらゆる物体の運動はこの空間に於いて考えるべきであると言明している。しかし、ニュートンはこの絶対空間の見つけ方を示していない。さらに与えられた物体がこの絶対空間に対して運動しているか静止しているかをどのようにして決めるのかと言うことを示していない。
 光が空間を伝わる電磁場の波であることが解ってきたとき、物理学者はその光が等速度で伝わる空間(光を伝える媒質として考えられたのがエーテルで、エーテルが静止している空間がある)こそがニュートンの言う絶対空間ではないかと考えた。
 そのため光の伝わる様子を調べればその絶対静止の空間の存在を確かめることができるだろうとして、思いつく限りの様々な実験・観測が行われた。しかし、どの様な実験・観察を試みてもその絶対的な空間の存在を確かめることができなかった。その後の物理学の発展によって、このような“絶対的な基準系”が存在するという考えは結局否定されることになる。

 絶対的な基準系がないとすれば慣性の法則はどのように理解したら良いのだろうか。実験をしてみれば解るように、外力が働かないと考えられる物体は互いに他に対して等速直線運動をする。このことから、慣性の法則をニュートンの様に定めることが是認される基準系、すなわち自由な物体が等速直線運動をするような基準系が存在する。このような基準系は“慣性系”と呼ばれた。
 容易に解るように任意の二つの慣性系の一方は他方に対して等速直線運動をしている。そうでないようなあらゆる基準系は“非慣性系”であり、これらの基準系の特有な性質は慣性の法則が見かけの上で破れることです。
 たとえは、大局的に考えて太陽を直線運動からそらせる様な力は存在していない。もちろん銀河中心方向からの重力を受けているがその点を考えてもほぼ等速直線運動をしているとして良いだろう。しかし地球に対して太陽は円形の運動をしている。つまり地球に対しては等速直線運動ではない運動をしている。それに故に地球に結び付けられた基準系ではニュートンが言うような意味での慣性の法則の定式化は効力を失う。

 “慣性の法則”は自然を説明する一般法則で、我々が物体の運動をどの様な基準系において考察するかに関わりなく成り立つ。しかし、この法則を表現する数学的形式はそれを観測する基準系に依存する。
 たとえば、地球に対しては、太陽に対するのとは異なった形に記述される。地球座標では、良く知られているように遠心力やコリオリ力が必要です。つまり、慣性の法則を含めてあらゆる物理法則が最も簡単に記述できるものが慣性系なのです。それ故にこのような基準系(慣性系)は物理学では特別に重要な役割をする。これまでの考察(特殊相対性理論)は慣性系で行われてきた。慣性基準系が存在するという事実そのものが時間と空間の持つ性質であると言うことを理解する必要がある。

 しかしながら、アインシュタインがニュートンの万有引力の法則を一層正確なものにしようとして作り出した一般相対性理論では、慣性基準系はもはや前提におかれていない。
 この理論はその物理的思想の性格から言って前節で述べたように、その数学的表現はきわめて複雑になることが予想される。そのため以下では、前章で考えた様な、ある慣性基準系Sに対して一様に加速されなから宇宙空間を飛んでいるロケットと共に動く座標系S’を非慣性基準系の例として考えることにする。つまり、前章の様に非慣性基準系を特殊相対性理論の範囲内で考察することでその性質を調べてみよう。
 特殊相対性理論の範囲内で考察するということの意味は、全空間に渡って一様な重力場は現実には存在しないことを指しているにすぎません。つまり質量をどの様に配置してもその様な重力場を作り出すことはできません。しかし、以下の考察は、その様な重力場が存在すると仮定できるとしたら以下の考察は一般相対性理論を満たしており、それから導かれる結論は正しいということです。
 以下の議論は文献1.§15からの引用です。

 

HOME  paradox  2.固有時)()()  3.一様加速)()  4.解決法)()  5.一般相対)()(3)()()  6.文献

(3)非慣性系の例として一様に加速される座標系

 あらゆる基準系は、任意の事象に対して、その空間・時間座標を与えなければならない。そのために適当な機器をロケットに取り付ける。このような機器として役立つのがレーダー(電波方向探知機)です。ロケットからあらゆる方向にパルス状電波を送り出しその発信の時刻を記録する。そして、いろいろな物体で反射された後にロケットに帰ってくる受信電波の到着時刻を記録しよう。
 このとき、これまで通りに、ロケットに固着したS’系においても光速度は一定でcに等しいとすれば、この方法によって反射点までの距離と、さらに反射された瞬間の時刻とを計算することができる。
 ここの前提が正しいという根拠は何もないのですが、加速度系が重力場と同じと考え、重力場中では物指し棒は縮み、時刻の進みも遅くなるので光の速度が見かけ上遅くなってもおそらくその物指し棒と時計で測った光速度は常にcと等しいとして良いだろうと考えるのです。
 あるいは、アインシュタインが1907年の論文で用いたように、各速度の段階に於いては、その瞬間にその速度で動いている慣性系を考え、その局所ローレンツ系に於ける無限に小さい経路にたいする光の速度の不変性が成り立つと考える(これは3.(1)ですでに用いたものです)。
 もちろん我々は、信号の発信・受信の時刻を我々のロケットの中の時計(ロケットの固有時)で測るとする。その時計はたとえばロケット共に動く原子の振動の固有振動数などの自然現象を用いて計測される理想的なものであるとする。

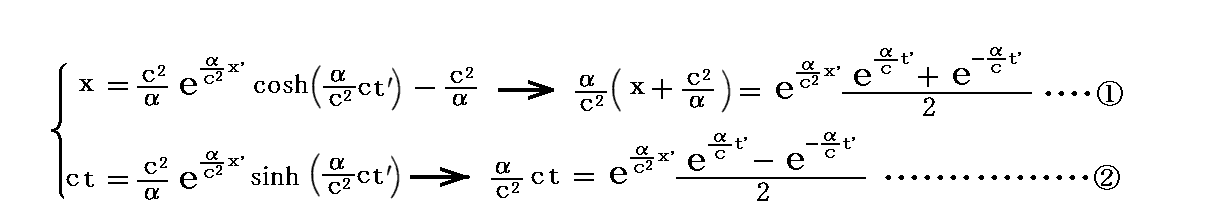
 図上に基準系Sのx軸とct軸をとり、上記のロケットの世界線を記入する。3.(1)2.で説明したようにロケットの世界線は双曲線となり、その漸近線は点Pで交わる。

 図には、時間座標の原点に取った時刻より以前においてもロケットは一様に加速(正確には一様減速)される運動をしていたと見なして t<0 の部分も記してある。t<0 においては、ロケットは右方から左方へ運動していたのであり、点Oでロケットは一瞬停止して、次に反対の向きに運動していく。
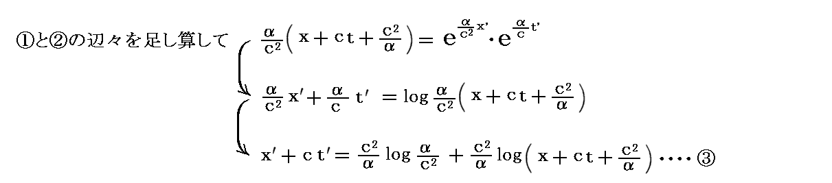
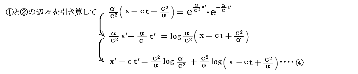
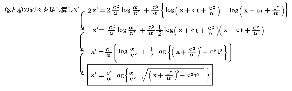
 3.(1)3.で説明した式

を用いれば、S系での任意の時刻 t に於けるロケットの固有時をロケットの世界線上の位置に記入することができる。ある一定の長さの固有時間間隔を取り、互いの間隔がこの時間に等しいような点を上記の双曲線上に記入する。図中の黒丸がそれです。
 このロケットの世界線はミンコフスキー時空に於ける運動系の時間座標軸(cτ)軸に相当するもので、《S’系の時間軸cτを表す》ことに注意されたし。

 ロケットが点Bにあった時刻にレーダーがパルス状電波を放射し、それが点Aにある物体から反射されて時刻Cにロケットにもどってくるとする。図から解るように、信号の発信から受信までの間に、4単位の固有時間隔が経過している。このとき以下の事が解る。

  1.  行きも帰りも光速は等しいのであるから、電波の反射はBとCの真ん中のDに当たる固有時刻に起こったといえる。つまり、事象Aはロケットの世界線上の事象Dと(基準系S’において)同時刻に起こっているのである。もちろん、Dは前述の式

    を用いてS系の時空図上の世界線上の位置として決めることができる。後で([補足説明4]で)解るように直線ADの延長線(S’系の同時刻線)は点Pを通る。
  2.  C点のロケットから点Aまでの距離は、明らかに2単位の固有時間隔に等しいので、それをS系での時間間隔に戻して線分CAを図示すれば、事象Aの基準系S’の座標は完全に決まる。具体的に言うとB点を通る右上がりの光世界線とC点を通る右下がりの光世界線の交点が事象Aです。

 基準系S’において空間座標が等しいような事象はどの様な世界線を描くか調べてみる。これはS’系で静止している物体がS系で描く世界線を求める問題と同じです。

 一例として、我々の《ロケットの右方にあって、1単位の時間に光速をかけただけの距離にある物体の世界線》を求めよう。
 レーダーから右方へ放射されたパルス状電波は、いま考えている物体から反射されて2単位の固有時間の後に戻ってくる。それ故に、前図の双曲線aa上の2単位の固有時間の距離にある点から右下がりの直線(光の世界線)を引き、最初の出発点から引いた右上がりの直線(光の世界線)との交点を求めれば、問題の物体の1単位の固有時間に置ける世界点となる。
 先ほどの光パルスがロケットに帰着するなり直ちに次の光パルスをロケットの右方にある最初の物体に向けて放射して再び反射波を受け取る。そうして3単位の固有時間に置ける物体の事象点を求める。それにはaa世界線上の2単位固有時の点から右上がりの光世界線を引き、aa世界線線上の4単位固有時の点から右下がりの光世界線を引いて交点を求める。それが3単位固有時に於ける物体の事象点です。
 以下世界線aa上のいろいろな点についてこのような作図を何回も数多く繰り返せばS’系でロケットの右方の1単位の時間に光速をかけただけの距離にある物体の世界線が求まる。

 このようにして得られる基準系S’において空間座標が等しい事象の世界線がえられるが、この世界線も双曲線となることが証明できる。基準系S’で静止している物体は、S系では一様に加速される運動をしているのだが、そのS系での世界線は双曲線となる。
 ここで注意して欲しいのは、この物体のS系での加速度は以前求めたS’系の原点(ロケット)の加速度αとは異なることです。S’系に静止している物体のS’系に於ける空間座標をx’とすれば、基準系Sでのその物体の加速度 αx'

となることが証明できる。
 実際図の上でも、ct=一定の線が、原点(ロケット)の世界線と一単位時間に光速をかけた距離の点の世界線を切る二点間の距離は t の増大と共に減少していきます。
 これは原点とロケットの右側(進行方向)の1単位の時間に光速をかけた距離の点に棒状の橋を架けたと考えれば納得できる。その橋(棒)の後端(ロケットの位置)が加速度αで加速されているとすると、橋の先端の加速度はαよりも小さくなる。なぜなら橋(棒)が加速されて速度が増大するとともに、橋(棒)の長さは(S系から見ると)時と共にどんどん縮んでいくからです。そのため橋(棒)の先端の加速度はαより少し小さく成る

 上記の物体と同じように、《ロケットの左方にあってS’系で静止しているような物体の世界線》も求めることができる。それは前記のグラフに描いてある。このとき興味深い点は、与えられた負の座標がどんなに大きくなっても、それに対応する物体の世界点は光の世界線PQとPRが成す角の内部に入ってしまうことです。これらの世界線(双曲線)は限りなく漸近線PQ、PRに近づくが、それを超えることは決してない。これは、我々の基準系S’はS系の空間-時間全体を包括することはできないと言うことです。角QPRの外部にくるような、任意の事象はS’系では記録することができない

 次に、《基準系S’で同時であるような事象》を調べよう。ロケットの中で生じる事象Dと同時である事象の世界点を作図するためには、先に説明した様に双曲線上の点Dの両側に等しい固有時間隔を持つような弧をとり、それらの端点から光の世界線を引けばよい。これらの世界線の交点が求める点です。(下図参照)

 いろいろな固有時間隔を持つ曲線弧の端点を利用して同様な作図をすれば、Dと同時な事象に対応する点がいくらでも求まる。これらすべての点は“PとDを通る直線”を構成することが証明([補足説明4])できる。
 この図を別稿「ローレンツ変換とは何か[Einsteinのローレンツ変換導出法(1905年)への補足]」3.(2)[補足説明2]の図と比較してみられたし。ミンコフスキー時空に比較してこの場合の時空はかなり歪んでいる事が読み取れる。

 次に、S系とS’系の両方において時間と長さの両方においてある一定の間隔の座標線を引いてみる。
 S系においては当然下図のようになる。この場合の座標の網目は直線状で互いに直交している。

 一方S’系に対しては下図のようになる。この場合の網目はもはや直線状ではない。

 “時間線(x’=一定の表す線)は双曲線”になる。
 また“空間線(ct’=一定となる線)は点Pから放射状に伸びる直線群”となる。このときct’=0のx’軸はct=0のx軸に一致するが、これらの軸上の単位の長さはx’が大きくなるとだんだん長くなることに注意されたし。
 すなわち基準系SではPの空間座標は−c2/αであるのに対して、S’系では負の無限大(x’→−∞)となる。それはまた、単位の距離を表す時間線の間隔がS系では常に同じなのに対してS’系では右に行くほど広がり、左のP点に近づくと無限に小さくなること事を意味する。
(これらの証明は[補足説明3][補足説明4]を参照)

補足説明1
 ここで説明した座標チャートはこのチャートの使用を普及させた Wolfgang Rindler にちなんで“リンドラー座標”と呼ばれることもあります。
 
 もちろん、この等加速度系の概念Einsteinが一般相対性理論への道を歩み始めた1907年論文や、1911年論文で繰り返し用いられています。
 Einsteinは、これらの論文の中で慣性系と等加速度系の関係を考察することで、一般相対性理論の定式化がどの様に成されるべきかを模索しています。
 本稿で説明する様に、その考察には、重要な知見が沢山含まれており、Einsteinが特殊相対性理論から一般相対性理論への移行するための重要な手かがりを与えます 

補足説明2
 これら二つの時空図を重ねると下図のようになる。図の右に記した式は、二つの座標系での座標値(x,t)←→(x’,t’)間の変換式です。(証明は[補足説明3]で行う) 

 これが、S系、S’系が共に慣性系である場合のミンコフスキー時空図に対応します。ミンコフスキー図は2.(2)[補足説明1]で示した様に下図になりますが、これと、上図を比較してみると、S’系が等加速度系(非慣性系)になると歪んだ時空図になるのが良く解ります。

 
 そのときミンコフスキー時空図中の世界線(たとえば図中の赤線1-2の様な)がS系とS’系どちらの座標系で表しても一つの同じ事象であったように、静止系Sで等加速度運動をするロケットの世界線(下図の赤曲線)がリンドラー座標(S’系)上でも全く同じ曲線で表せる。

 実際、ロケットはリンドラー座標(S’系)の原点に静止していることになるのですから、その世界線(赤曲線)はリンドラー座標(S’系)ではct’の時間軸に一致します。

補足説明3  重要!!
 二つの時空図を重ねた図上の任意の事象点の静止系S座標(x,t)が,一様加速度系S’座標(x’,t’)とどの様に関係するのかを求めておきます。
 
 まずS’座標で(0,ct’)と表される《t’軸(ct’軸)上の事象点に付いての変換式》を求める。ct’軸はS系座標上で表したロケットの世界線ですから、この関係式は3.(1)3.ですでに求めている。
 そこで求めた式のτが対応するS’系での t’値です。つまり

となる。これをS’系の(x,t)で表したロケットの軌道方程式(双曲線を表す式)に代入すればxとt’との関係が得られる。

 結局、S’系座標(0,ct’)と表される t’軸上の点に対応するS系座標(x,ct)

となる。
 
 この式を元にして《t’軸(ct’軸)上以外の事象点の変換式》を求める。(以下は石井文献2.p575〜577を参照した)
 いま、(x,ct)が(x’,ct’)によって以下の関係式で表されるとする。

 そのとき、以下のように考えてf(x’,ct’)とg(x’,ct’)の形を決めていく。
 まず、x’=一定の曲線とct’=一定の曲線の交点B’の周りの事を考える。“等価原理”によって1点の周りでは局所慣性系をとることができるから、交点B’の周りのグラフは慣性系の形をしていなければ成らない。ミンコフスキー時空図でローレンツ変換した座標のx軸とct軸は、x’軸とct’軸を直交して描いた時空図上では傾き45°の直線(光の世界線)に関して対称でかつ目盛りの間隔は等しくなっていました。(2.(2)[補足説明1]の図を参照)
 このことをB’のまわりの状況に当てはめると、x=一定曲線B’での傾き[d(ct’)/dx’]x=一定は、ct=一定曲線B’での傾き[d(ct’)/dx’]ct=一定に対して、下右図のように傾き45°の直線(光の世界線)に関して対称になっているはずです。

 (上記の左右の図は、後で示す x−ctグラフ図x’−ct’グラフ図B’の周りの様子を先取りして示しています。)
 数学によると、因関数に関して以下の定理がある。

 これを今の場合に適用する。
 (x’,ct’)座標に於いてx=一定の曲線B’での傾き[d(ct’)/dx’]x=一定

となり、
 同じくct=一定の曲線B’での傾き[d(ct’)/dx’]ct=一定

となる。
 これらが傾き45度の直線(光の世界線)に対して対称なので

となり、結局

が成り立つことになる。
 ここで、少し天下り的だが、(1)式を考慮して

と置けるとする。このときu(x’)とv(x’)は、x’=0とき(つまり(0,ct’)のとき)(1)式より

でなければならない。
 (3)式を(2)式に代入すると

となる。(5)の第1式の両辺をx’で微分したものに第2式を代入して

が得られる。これは“2階の線型常微分方程式”で、簡単に解くことができる。(別稿「調和振動子」2.(2)などを参照)
 その解は

となる。これを、(5)の第1式に代入すると

が得られる。
 これらの式に(3)式のu(0)=1、v(0)=1を適用すると積分定数はC1=1、C2=0でなければならないことが解る。
 そのため

となる。
 これを(3)式に代入すると、(x’,ct’)に対応する(x,ct)は

となる。
 (7)式をx’とct’の連立方程式と見なして解くと[式変形の拡大版





となる。すなわち

が得られる。

補足説明4
 [補足説明3]の(7)式からx’を消去すると

これは、ct’=一定 の空間座標線が、x-ct座標上では(x,ct)=(-c2/α,0)の点を通る傾きtanh(αt’/c)の直線に成ることを示している。このときct’→+∞のとき直線の傾きは+1に、またct’→−∞のとき直線の傾きは−1に近づく。つまり傾き角度が±45度の光の世界線に限りなく近付いていく。
 
 同様に(7)式からct’を消去すると

となる。これはx’=一定 の時間座標線が、x-ct座標上では(x,ct)=(-c2/α,0)を通る傾き45度の光の世界線を漸近線とする双曲線に成ることを示している。
 このとき高校数学で習うように(-c2/α,0)点と双曲線がx軸を切る点との距離は下図の様になる。そのため、x’→−∞の場合にx軸との交点は限りなく(-c2/α,0)点へ近づき、x’=一定の曲線は限りなく漸近線に接近する。また、x’→+∞の場合にx軸との交点はx→+∞へ移動し、x’=一定の曲線は漸近線から離れていく。

 実際にx’=一定とct’=一定の曲線群を描いてみると下図の様になる。ここでは4.(2)最後の図で説明したケンタウルス座α星に向かって加速進行中のロケットの旅程(α星への中間点B’点まで)を考慮して、α=10[m/s2]の場合を網目の間隔を1×1015[m]として描いてある。[拡大図はこちら

 4.(1)で説明したケンタウルス座α星に向かって等加速進行しているロケットが丁度半行程進んだときの事象B’点(x’B',ct’B')=(0[m],16.6145×1015[m])でしたが、それは図中の赤二重丸点の位置になります。そのときの地球の事象B点は図中の青二重丸点の位置になります。
 事象B’点のS系での座標値は(x,ct)=(20.25×1015[m],27.811×1015[m])ですが、S'系での座標値を赤線の座標線の数を数えることで読み取ると、確かに(x’,ct’)=(0[m],16.6145×1015[m])となっています。
 
 さらに補足すると、上図のA’→B’世界線の上で、青時間線(S系固有時間隔線)赤時間線(S’系固有時間隔線)の交差の様子を比較すると、4.(2)の固有時対応グラフの変化の様子が確認できます。
 このときA→B世界線の上では、その対応を調べることはできません。このグラフはその様には描かれていないからです。そのことはグラフのS系固有時間隔線S’系の固有時間隔線の重なり具合を見れば明らかです。
 
 
 上記の図で注意して欲しい事は、ロケットが地球から出発してある程度時間が経過するとロケットから地球を認識することはできなくなることです。つまりロケットの存在する時空の外側に地球が消えてしまいます。しかし、地球の住人からは常にロケットを認識することはできます。これはとても奇妙で不思議な事ですがその通りのことが起こります。
 このことに付いて、内山龍雄著「一般相対性理論」裳華房(1978年刊)p244〜245で説明されていますので以下で引用。



 補足しますとロケットの搭乗員に取ってA点(時刻c2/a)の地球が永遠に見え続けると言うことです。それは丁度ブラックホールに落下して行く物体がシュワルツシルド半径に近付くにつれて、無限にゆっくりと落下していて行くように見えるのと同じです。そのとき、出発点の地球よりも遠くにある星は当然のことですが、ロケットの搭乗員に取ってある時刻以後には視野の外にブラックアウトして見えなくなります。いつまでも見え続けるのは加速度零の状態で出発した地球の(地球時間で)時刻c2/aの地球です。
 もう少し補足すれば上図のABを結ぶ世界線上にある物体(星々や地球を含めて)の状態がロケットの搭乗員にいつまでも見え続けると言うことです。そのときそれらの物体の遠ざかる速度は無限にゆっくりになりながらいつまでも見え続けます。もちろん距離が離れていきますからより小さくよりかすかに成っていきます。そのためやがては見えなくなるのは確かですが。
 ロケットの周りを後に流れていく時空はロケットに対して段々速く移動するようになりますから、特殊相対性理論の効果でロケットの周りの空間(距離)は縮み、流れる時間の歩みはゆっくりになります。そのためAB線下側の事象がロケットから遠ざかる速度も段々ゆっくりになっていくでしょう。
 
[2019年8月追記]
 最近(2019年8月)知ったのですが、この当たりの現象について松田卓也、木下篤哉著「相対論の正しい間違え方」丸善(2001年刊)の第6章に丁寧かつ解りやすく説明されていますのでご覧下さい。
 あるいは、J.J.キャラハン著「時空の幾何学」シュブリンガーフェアラーク(2003年刊)の第4章§4.2“等加速度直線運動”も解りやすいかもしれません。

補足説明5
 x’−ct’座標系でのグラフを描くには、[補足説明3](8)式の二式からx、あるいはctを消去して得られる式を用いれば良い。[式変形の拡大版

これらを用いて、S’系のx’−ct’直交座標上でS系ct=一定曲線、あるいはx=一定曲線のグラフが得られる。
 上記の式はもちろん、[補足説明3](7)式のそれぞれをct’について解いたときに得られる式と同じです。

 上側の式のxを様々に変えて得られるct’=f(x’)曲線のグラフを描けばそれが、S’系のx’-ct’直交座標上でのS系x=一定曲線の座標線となる。
また、下側の式のctを様々に変えて得られるct’=g(x’)曲線のグラフを描けばそれが、S’系のx’-ct’直交座標上でのS系ct=一定曲線の座標線となる。
 実際にx=一定とct=一定の曲線群を描いてみると下図の様になる。ここでは4.(2)最後の図で説明したケンタウルス座α星に向かって加速進行中のロケットの旅程を考慮して、α=10[m/s2]の場合を網目の間隔を1×1015[m]として描いてある。[拡大図はこちら

 この図で注意して欲しい事は、重力場中の時計の進みは遅れ、物指し棒の長さは縮んでいます。もちろんロケット共に動く物指し棒はロケットの前後に無限の彼方まで設置してあると考えれば良いのです。ロケットと共に動いています(あるいはロケット共に一様重力場中に静止しています)が、その単位長さの縮みはすべての領域で同様に縮んでいます。上記のグラフの縦横の単位は重力場中のそのゆっくり進む時計で測った1[s]と縮んだ物指し棒での1[m]で測った目盛りだと言うことです。そして、空間が縮むと言うことは、物指し棒が縮むこと以外の何者でもありません。重力場中の時がゆっくりになると言うのは、重力場中に存在する物質に起こる自然現象がゆっくりになること以外の何者でもありません。たとえば原子核の固有振動などがゆっくり振動するようになると言うこと以外の何者でもありません。
 そのとき、相対性理論では地球に対して静止している物指し棒の目盛りと、ロケットに対して静止している物指し棒の目盛りの内どちらりが正しいのかを問うのは意味のないことであることに注意して下さい。その目盛りの正しさというのは相対的なものなのですから。時の経過についても同様です。
 
 4.(1)で説明したケンタウルス座α星に向かって加速進行したロケットが丁度半行程進んだときの事象点B’(x’B',ct’B')=(0[m],-16.6145×1015[m])の座標値の赤二重丸点の位置になります。B’点のS系での座標値を青線の座標線の数を数えることで読み取ると、確かに(x,ct)=(20.25×1015[m],27.811×1015[m])となっています。
 しかし、ロケットが上記の事象B’点にいるときのS系(地球)の事象B点の座標(x,ct)=(-20.25×1015,27.811×1015は上記のグラフ領域中には存在しません。なぜなら、そのときの地球の事象点は[補足説明4]のグラフの右側赤△領域の外側に在る事象点だからです。ここのグラフの全領域が[補足説明4]のグラフの右側赤△領域に対応するのですから。
 
  さらに補足すると、上図のA’→B’世界線の上で、青時間線(S系固有時間隔線)赤時間線(S’系固有時間隔線)の交差の様子を比較すると、4.(2)の固有時対応グラフの変化の様子が確認できます。このときすでに述べたように、A→B世界線の上では、固有時の対応を調べることはできません。

 このように、非慣性系へ移ると空間-時間に対して曲線座標を導入することが必要になる。本節のS’系は空間-時間からたまたま“真っ直ぐな空間層を切り取る”が、“曲がった空間層を切り取る”ような基準系があり得る事は当然です。
 それゆえに、非慣性基準系では空間は歪んだ非ユークリッド空間になると予期しなければならない。

 

HOME  paradox  2.固有時)()()  3.一様加速)()  4.解決法)()  5.一般相対)()()(4)()  6.文献

(4)非慣性系(曲がった時空)における慣性の法則

 5.(2)で述べたように、非慣性基準系の特徴は、慣性の法則がニュートン力学の様に定式化できない事でした。それでは、これをどの様に定式化すればよいのだろう。定式化を見つけるには2.(3)で述べた“固有時”の性質を思い出さねば成らない。

 与えられた2つの世界点を結ぶようなあらゆる世界線の内で、最大の固有時間隔を与えるものは慣性にしたがう運動を表す世界線である。

 2.(2)で注意したように、この定式化は世界線を表示するために用いた基準系には無関係です。もちろん非慣性系基準系に対しても成り立ちます。しかし、この定式化が意味を持つためには以下の二つの問題を解決しなければならない。

  1. 任意の基準系に於いて勝手な世界線に沿った固有時間隔を計算する方法を知らねばならない。
  2. いろいろな世界線の内で最大の固有時間隔に対応するものを見つける方法を知らねばならない。

 

.第1問題に付いて

 第1の問題に付いての事情は次のようになる。
 2.(2)で説明したように任意の慣性基準系Sでは、固有時間隔(の2乗)は次の式で表せた。

この式は、一つの物体が慣性系中の任意位置xでdtの間にdxだけ移動したときの固有時の経過を示している。
 ここで、(x1,t1および(x2,t2は2つの接近した事象の座標です。任意の世界線に沿って固有時間隔を計算するためには、その世界線を十分に小さい弧に分割し、それらのおのおのの弧にこの式を適用し、得られた結果を加え合わせれば良い。正確を期するには、弧の長さが限りなく小さくなるように分割して積分すればよい。

 このとき、別の慣性基準系S’における固有時間隔を計算するには、上式の(x,t)に、それらを別の慣性基準系S’の座標(x’,t’)で表した式を代入しなければ成らない。その当たりは2.(2)[補足説明1]の実例で説明した通です。

 問題は慣性基準系ではなくて非慣性基準系に移ったときの固有時間隔の計算です。
 最初の慣性基準系Sから非慣性基準系(たとえば一様加速度運動するロケットの)に移る場合、その変換公式はローレンツ変換ではなくて下記の変換式となる。(これは前節[補足説明3]ですでに求めている)

上の2つの式を(x,t)について解けば逆変換式

が求まる。
 このとき、問題なのは世界線に沿った固有時間隔を表す式が、慣性系Sから別の慣性系S’へ移行すると異なった式になることです。実際、本稿で論じている“一様に加速される非慣性基準系”S’のx’とt’から計算する場合には、固有時間隔は次の式で与えられる。

 この式は、一つの物体が等加速度系(一定重力場系)の中のx’の位置でdt’の間にdx’だけ移動したときの固有時の経過を示している。ここで、(x’1,t’1および(x’2,t’2は基準系S’に於いて限りなく接近した2つの事象の座標値です。
 この様になることは以下のようにして証明できる。x’軸方向にに−αの重力がかかっている一定重力場系(x’,ct’)とそれに対して−αの重力を受けながら左向きに(x’軸の負方向へ)自由落下する慣性系(x,ct)との変換則は“等価原理”により前述の逆変換式と同じで

となります。これらの式の全微分を用いればよい。上式の全微分は

となる。慣性系の線素はミンコフスキー計量(今は空間座標はxのみを考えている)だから、それに上式を代入すると

が得られる。

 S系とS’系の表現式は違いますが、固有時間隔“不変量”ですから

の関係は常に成り立ちます。
 この式の意味はS系とS’系の両方が慣性系の場合のミンコフスキー時空図2.(2)[補足説明1]で説明していますのでそこを復習されて下さい。
 この式は重力場の中(リンドラー座標中)の事象点の座標変分dt’とdx’に従う固有時間経過の計算式はミンコフスキー時空図の場合とは違っていることを示している事に注意して下さい。これが2.(2)[補足説明1-3]で注意した事柄です。

補足説明1
 上記の座標変換式を4.(1)で説明したケンタウルス座α星までの1/2行程の旅行に適用して、そこでの値が得られるか確かめてみます。
 ケンタウルス座α星までの距離の半分の位置にロケットが到着したときのS系での事象座標は(x,t)=(2.025×1016[m],9.277×107[s])だから、ロケットの加速度をα=10[m/s2としたことを考慮すると、ロケットと共に動く座標S’での事象座標(x’,t’)は

および

となる。ロケット座標では当然x’=0となり、所用時間t’は4.(1)で求めた値が確かに得られている。
 これらの(x’,t’)値を逆変換式に代入すれば、

となり、S系での値(x,t)に戻ります。

補足説明2
 補足ですが、前記の座標変換式を用いれば速度の変換式が得られる。




 同様にして逆変換式は下記になる。



 慣性系間の速度変換式の様に、逆変換式が単純にαの符号を逆にすれば良いというわけにはいきません。事象点が異なればその座標(x,t)あるいは(x’,t’)に依存した速度変換式、速度逆変換式となります。

 

.第2問題について

 2つの世界点AとBが与えられたとしよう。それらを下図の様にある世界線の弧で結びつける。

 この弧に沿って固有時間隔を計算しよう。そのためには、どの様な基準系を使っても良い。計算の結果は基準系の取り方に関係しないからです。しかし、この結果は世界線そのものには依存し、世界線の取り方によっていろいろな時間間隔が得られる。2点AとBを結ぶあらゆる世界線のうち、それに沿った固有時間隔が最大値をとるような世界線がただ1つだけ存在する。これが慣性に従って運動する物体の世界線である。それを見つけるにはどのようにすればよいか?
 慣性基準系においてならば、この問題はきわめて簡単に解くことができ、それは真っ直ぐな世界線である(2.(3)[補足説明4]参照)。他の任意の基準系(非慣性系)に於いて見つけるのは簡単ではないが、このような世界線を見つけることはできる。それは数学では“変分法”といわれる数学的な解法を用いなければならない。とにかく変分法を利用すれば、慣性に従って運動する物体の世界線を求めることができる(矢野「相対性理論」第5章§4参照)。

 しかし、このようにあらかじめ2点が与えられており、それらを結ぶ曲線を見つけるというだけでは不十分です。すなわち、慣性に従って運動するような物体のあらゆる世界線を一挙に特徴づけるような条件を見つけることの方がもっと重要です。このような条件も“変分法”によって求めることができる。その条件式は微分方程式の形に表される。この方程式を解くことで、求める世界線を全部見出すことができる。
 もちろん、その微分方程式を解くのは容易ではない。実際にはおのおのの世界線を具体的に任意の精度で一歩一歩逐次計算していく数値解法に拠ることになる。

 ともあれ、“慣性の法則”は任意の基準系(非慣性系を含めて)において定式化することができる。このために知っておかねばならないのは固有時間隔を与える式だけなのである。このことは他の物理法則に付いても言える。任意の物理法則も任意の基準系に於いて成り立つように定式化することができる。その基準系について知らなければ成らないことは、その系で固有時間隔が事象の座標によってどの様に表されるかと言うことだけです。それゆえ固有時間隔を表す式は基準系のあらゆる性質を完全に決定する
 たとえば、固有時間隔が

で表される基準系は“慣性系”を意味するが、このことから慣性系では、特殊相対性理論で得られた、“速度合成法則”、“相対論的質量と速さとの関係式”、“運動量やエネルギーの表現式”、等々・・・の結果はこの基準系について成り立つことです。
 さらに、本稿で論じている非慣性系の例である“一様に加速される基準系”では、固有時間隔を表現する式は5.(4)1.で示したように

となるのでした。
 このように、それぞれの基準系での物理法則は、それぞれの基準系特有なものになる。たとえば相対論的質量を与える式はこの基準系では

のようになり、その移動速度のみならず存在する場所にも依存する。

 “慣性の法則”については固有時間隔を最大にすると言う定式化でもって、慣性系でも非慣性系でも、その他あらゆる基準系に対して対応できるようになった。
 それでは、慣性の法則以外の物理法則が、あらゆる基準系に対応できる形式にできるのであろうか。それは可能です。アインシュシタインは、大変な困難を克服して、最終的に他の法則、たとえば“ニュートンの運動第2法則”、“万有引力の法則”、“電磁場の諸法則”、等々・・・についても、任意の基準系に適合する形(一般共変形式)を見つけることができた。

 

HOME  paradox  2.固有時)()()  3.一様加速)()  4.解決法)()  5.一般相対)()()()(5)  6.文献

(5)一般相対性理論による浦島効果の説明

 前述のS系の座標上にS’系のリンドラー座標を重ねて、ロケットが重力場の中に静止しているとして一般相対性理論によって浦島効果を説明する。
 まず4.(2)最後で説明した図の縦軸をct[m]にして、世界線を4つの領域に分ける。

 まず、ロケットがA’→B’まで移動するときのロケットの固有時間で地球はA→Bまで事象点が移動していることになります。上図に於いて、ロケットが重力場(左向き)に静止していると見なせばロケットの固有時間A’→B’に地球はその重力場を“自由落下”してA→Bの世界線をたどる。このとき地球の固有時経過時間はロケットの固有時経過時間よりも長くなります。
 ロケットの固有時がB’→C’→D’と進む間はロケットは別な重力場(右向き)に静止している。地球はB→Cの世界線をたどって重力場の中を(B点での速度を初速度として)“自由上昇”する。やがて点で速度はゼロになり、その地点から向きを変えてC→Dの世界線をたどって同じ重力場の中を“自由落下”してロケットの方に近づいていく。B→C→D間の地球の固有時間隔はもちろんロケットがB’→C’→D’の世界線を進む間の固有時間隔よりも大きくなる。
 ロケットの固有時がD’→E’と進む間は、ロケットは最初の左向きの重力場の中に静止している。そして地球はD→Eの世界線をたどってロケットが存在する重力場(左向き)の中を(D点での速度を初速度として)“自由上昇”してロケットの位置E’へ近づいて行く。そしてE’で地球の速度は丁度ゼロになり、そこにあるロケットの場所に帰着する。このとき、はD→Eの世界線をたどるときの地球の固有時経過時間はロケットのD’→E’の固有時経過時間よりも長くなります。
 それぞれの行程での固有時経過時間を足し合わせた全行程 A→B→C→D→EA’→B’→C’→D’→E’ を比較してみれば地球の固有時経過時間の方が、ロケットの固有時経過時間よりも長くなっています。

補足説明1
 5.(4)で説明したリンドラー座標と、その逆変換した座標を用いて説明することもできますが、この現象は、途中で重力場の方向が逆転すると考えないといけないので、その逆転の場面でそれ以前のグラフと旨くつながりません。そのため重力場の方向が変わるごとに、別々の座標図を用いて説明する必要があります
 
  《行程A→BA’→B’》の図5.(3)の[補足説明4][補足説明5]ですでに説明しましたので、ここでは、例として《行程 B→C→DB’→C’→D’》 を描いてみます
 このとき、加速度の方向(重力場の方向)は5.(3)の場合とは逆になりますから、グラフは左右を入れ替えなければ成りません。さらにこのとき、座標の原点をC’点とした図を描くことにします。
 
 そうすると、ロケットの事象点B’はリンドラー座標上では(x’B',ct’B')=(0[m],-1.66145×1016[m])であり、地球の事象(xB,ctB)=(-4.05×1016[m],-2.7811×1016[m])となります。
 そして、ロケットの事象点C’はリンドラー座標上では(x’C',ct’C')=(0[m],0[m])であり、地球の事象(xC,ctC)=(-4.05×1016[m],0[m])となります。
 さらに、ロケットの事象点D’はリンドラー座標上では(x’D',ct’D')=(0[m],+16.6145×1015[m])であり、地球の事象(xD,ctD)=(-4.05×1016[m],+2.7811×1016[m])となります。
 実際、固有時間間隔線の数を数えることで、それらの座標値は確認できます。すなわち、静止している地球の固有時よりも、減速運動→加速度運動するロケットの固有時の方がゆっくり進んでいる事が、図の上からも読み取れます。
拡大図はこちら

 さらに補足すると、上図あるいは下図のB’→C’→D’世界線の上で、青時間線(S系固有時間隔線)赤時間線(S’系固有時間隔線)の交差の様子を比較すると、4.(2)の固有時対応グラフの変化の様子が確認できます。この対応関係は上図よりも下図の方がより解りやすいでしょう。
 図中の、青時間線(S系固有時間隔線)は上図では静止した地球、下図では重力場中を自由上昇運動した後に自由落下運動をしている地球の固有時間隔線です。
 また、赤時間線(S’系固有時間隔線)は上図では左向き等加速度(10m/s2)運動(右向きの減速運動した後に左向きの加速度運動)をするロケット、下図では重力場に静止したロケットの固有時間隔線です。
 つまり、これらのグラフを描く元になった変換則

は、x’軸方向にに+αの重力がかかっている一定重力場系(x’,ct’)とそれに対して+αの重力を受けながら左向きに(x’軸の負方向へ)自由上昇してから右向きに(x’軸の正方向へ)自由落下する慣性系(x,ct)との変換則であったことを忘れないで下さい。
 
 
 逆変換した座標上でのグラフは下図の様になります。
拡大図はこちら

となります。
 このとき、地球B→Cの世界線をたどって重力場の中を(B点での速度を初速度として)“自由上昇”する。やがて点で速度はゼロになり、その地点から向きを変えてC→Dの世界線をたどって同じ重力場の中を“自由落下”してロケットの方に近づいていく。
 そのとき、地球が自由上昇あるいは自由落下する距離x’は0.18×1016[m]程度であることが(x’,ct’)座標から読み取れます。これは前図のリンドラー座標図の(x’,ct’)座標からから読み取れる地球のx’座標の変化量と同じです。
 もちろんこの図の(x,ct)座標値から読み取れるロケットの座標の変化量は(以前求めた)2.025×1016[m]です。これは前図のリンドラー座標図の(x,ct)座標から読み取れるロケットの座標による移動量と同じです。
 このように、相手を観測する座標系を変えると、相対的な移動量の大きさも異なってきます。
 次に、ロケットの事象点B’(x’B',ct’B')=(0[m],-1.66145×1016[m])であり、地球の事象(xB,ctB)=(-4.05×1016[m],-2.7811×1016[m])となります。
 そして、ロケットの事象点C’(x’C',ct’C')=(0[m],0[m])であり、地球の事象(xC,ctC)=(-4.05×1016[m],0[m])となります。
 さらに、ロケットの事象点D’は図上の(x’D',ct’D')=(0[m],+1.66145×1016[m])であり、地球の事象(xD,ctD)=(-4.05×1016[m],+2.7811×1016[m])となります。
 実際、固有時間間隔線の数を数えることで、それらの座標値は確認できます。いずれにしても、重力場中に静止しているロケットの固有時よりも、重力場中を自由上昇→自由落下する地球の固有時の方が速く進んでいる事が、図の上からも読み取れます。
 
 
 最後にもう一度注意しますが、地球とロケットのお互いの移動速度が光速に近付いてくると、地球から見たロケットの運動を表すx−tグラフも、重力場に静止するロケットから見た重力場中を自由上昇運動あるいは自由落下運動する地球を表すx’−t’グラフも、二次曲線(放物線)からずれて来ます。それはどちらの立場から見ても、等加速度運動と自由落下運動の場合は未来に進むと、等減速運動あるいは自由上昇の場合は過去にさかのぼると、光りの世界線に近付いていくからです。

補足説明2
 上記[補足説明1]の説明ではロケットが静止していると考える重力場の方向を途中で逆転しなければ成らないので、少し解りにくいかも知れません。そのため、以下の状況で双子のバラドックスをもう一度考えて見ます。
 
 地球とケンタウルス座のα星との間の中間点に宇宙ステーションが静止しているとします。そこを光速度の95%の速度で通過するロケットを考えて、宇宙ステーションとロケットがすれ違った瞬間をそれぞれの乗組員が体験する時間測定の開始点(時間座標の原点)とします。又距離座標の原点とします。つまり宇宙ステーションが静止している座標系(x,ct)ですべての現象を眺めます。ロケットが宇宙ステーションとすれ違った瞬間の事象をB’としますと、(xB’ ,ctB’)=(0[m],0[m])です。もちろん(x’B' ,ct’B')=(0[m],0[m])でもあります。付加した’(ダッシュ)はロケットを意味します。
 宇宙ステーションとすれ違った後のロケットは加速度−10m/s2で減速しながらx軸の正方向に進むと考えます。そうして進んで行くと丁度ロケットの速度がゼロになるころ、ケンタウルス座のα星に到着します。そのときの事象をC’としますとは(xC’ ,ctC’)=(2.025×1016[m],2.7811×1016[m])となります。
 以前に注意した様に、ロケットの加速度−10m/s2は、その加速度を測定する瞬間にロケットと共に動いている座標系で測っての話です。だから宇宙ステーションが静止している座標系から見るとロケットの加速度は変化していきます。そのため、下図のロケットがたどる軌跡B’→C’→D’は二次関数では有りません。Newtonの古典的力学では二次関数ですが、ここではそうで無いことに注意して下さい。
 ロケットは引き続いて−10m/s2の加速度でx軸の負方向に加速しながら宇宙ステーションの方向に戻ってくるとします。丁度ロケットの速度が光速度の95%に到達する頃に宇宙ステーションの所に戻って、その側を通過します。そのときの事象をD’(xD' ,ctD’)=(0[m],5.5622×1016[m])となります。宇宙ステーションの時計はctD=5.5622×1016[m]を示しており、ロケット内の時計はctD'=3.3229×1016[m]を示しています。[拡大図

 ちなみに、上記の各事象の座標点は以下の様になります。

すなわち、地球人から見て、ロケットは地球から距離2.025×1016[m]だけ離れた位置で方向転換し、地球人が持っている時計で測って5.5622×1016[m]後にロケットは地球の位置を再び通過します。
 さらに、事象B’→C’→D’をたどる世界線の関数表現を求めておきます。まず、5.(3)[補足説明3]で求めた(7)式を、この場合に適用すると

となります。このとき、上記の世界線はx’=0を常に満足しますので、これは下記の様に変形できます。


これが、世界線B’→C’→D’を表す求めるべき関数です。グラフィックソフトを用いて上記の関数のグラフを描いて見ると、確かに上図の曲線が得られることが確認できます。
 補足しますと、x’が0以外のx’=一定の時間座標線(世界線)は、以前行った手順に於いて(7)式の代わりに(7’)式を用いて同様な式変形すれば求まる。
 以前に注意しましたが、 ctctc' の前後で、ロケットの速度vが光速度cに比較してかなり小さくなる時には

となり、Newton理論の二次関数(放物線)で近似できます
 
 上記のプロセスをロケットに固定した座標系から眺めます。すなわちロケットはx’軸の正方向にg=10m/s2の重力加速度を生じる様な重力場の中に静止しているとします。その場合宇宙ステーションは、最初の瞬間にその重力場内に静止しているロケットの側を、光速度の95%の速度でx’軸の負の方向へすれ違って進んでいます。静止したロケットと宇宙ステーションがすれ違った瞬間をロケットが静止している座標系の原点とします。すなわち(x’B,ct’B)=(0[m],0[m])です。先ほどの事象符号に付加した’(ダッシュ)を外したのは、その事象が宇宙ステーションについてだからです。座標の方に’(ダッシュ)を付加しているのはロケットに対して静止している座標を意味するためです。静止したロケットの側を宇宙ステーションがすれ違った瞬間の事象をとしますと、(x’B ,ct’B’)=(0[m],0[m])です。もちろん(x’B ,ct’B)=(0[m],0[m])です
 ロケットとすれ違った後の宇宙ステーションは重力加速度10m/s2の重力場内を自由上昇しながらx’軸の負方向に進むと考えます。その様にして速度を減じながら進んで行くロケットの速度が丁度ゼロになるころの事象をとしますと、(x’C,ct’C)=(-1.06×1016[m],1.66145×1016[m])となります。
 このときx’C=-1.06×1016[m]となるのは、ロケットが静止している空間に対して、宇宙ステーションが静止している空間はロケットに対して高速で移動していますので、ロケット内の物差しを使って測った宇宙ステーションの移動距離は、先ほどのC’ =2.025×1016[m]よりも短くなるためです。
  宇宙ステーションは引き続いて重力加速度10m/s2の元でx’軸の正方向に自由落下しながらロケットの方向に戻ってくるとします。丁度宇宙ステーションの速度が光速度の95%に到達する頃にロケットの所に戻って、その側を通過します。そのときの事象の座標は(x’D ,ct’D)=(0[m],3.3229×1016[m])となります。そのとき、ロケット内の時計はct’D'=3.3229×1016[m]を示しており、宇宙ステーションの時計はct'D=5.5622×1016[m]を示しています。[拡大図

 この図は、先ほどの図をct軸に関して左右をひっくり返したものとは異なっている。このことが、5.(1)の最初に述べた“アインシュタインはこのことの意味を深く考えます。そして、一見するとパラドックスの様にみえる原因は両方の過程を同じものと見なすことにあるのであって、両方の過程は根本的に違うものだと気づきます。”の中身を示しています。
 ちなみに、上記の事象の座標点は以下の様になります。

 すなわち、ロケットの搭乗員から見て、地球はロケットから距離1.06×1016[m]だけ離れた位置で自由上昇から自由落下に転じ、ロケットの搭乗員が持っている時計で測って3.3229×1016[m]後に地球はロケットの位置を再び通過します。
 このとき、方向転換するまでの距離が先ほどと異なるのは、重力場中では空間そのものが縮む為に、ロケットの搭乗員が用いる縮んでいない物指し棒で測ると、地球は短い距離の位置で方向転換する様に見えるからです。再び通過する時間が異なるのはまさに一般相対性理論による浦島効果の為です。
 さらに、事象B→C→Dをたどる世界線の関数表現を求めておきます。まず、5.(3)[補足説明3]で求めた(8)式を、この場合に適用すると

となります。このとき、上記の世界線はx=0を常に満足しますので、これは下記の様に変形できます。



これが、世界線B→C→Dを表す求めるべき関数です。グラフィックソフトを用いて上記の関数のグラフを描いて見ると、確かに上図の曲線が得られることが確認できます。
 補足しますと、xが0以外のx=一定の時間座標線(世界線)は、以前行った手順に於いて(8)式の代わりに(8’)式を用いて同様な式変形をすれば求まる。上図のx-ct座標の座標線は手抜きをして以前の座標線を流用していますが、本来は正しい表現式にしたがって引き直した方が良いです。そうすると座標線の形は同じなのですが太線の区切り線の位置がずれてきます。
 いずれにしましても、上式は一様重力場内に静止しているロケットから見た時、その重力場内を自由上昇して、その後自由落下してくる宇宙ステーションが描く時空曲線(世界線)です。
 すなわち、これはNewto力学の、一定の重力場中で物体を垂直上方に放り投げて、それが自由上昇→自由落下する様子を表す、x-t座標グラフに相当します。Newtonl力学では二次関数ですが、一般相対性理論の世界ではそうは成りません。
 Newtom力学で先ほどの図この図に相当するものをct軸ct’軸を一致させて重ねると、その軸に対して左右対称の形になるのですが、一般相対性理論の世界ではそうはなりません。そのことが双子のパラドックスに対する回答です。
 
 実際、二つの図を比較して見られると宇宙ステーションから見てもロケットから見ても、ロケットの方が宇宙ステーションよりも時間の進みが遅いことが(重ねて表示されている二つの座標線の)枡目の数を数える事によって確かめられるでしょう。
 さらに補足しますと、
宇宙ステーションの座標系から見た時のロケットの移動距離と、ロケットの座標系から見たときの宇宙ステーションの移動距離が異なる事に注意して下さい。この移動距離の違いも二つの座標上で同じであることが(重ねて表示されている二つの座標線の)枡目の数を数える事によって確認できます。
 そのとき、
両者が異なるのも当然です。もともと自由空間中をロケットが往復する現象と一定重力場空間中を宇宙ステーションが自由上昇して自由落下する現象は物理的に全く異なった現象なのですから。
 
 そして、ここで仮定した様なある領域の全体にわたって重力場が一様となる状況は質量をどの様に配置しても現実には作り出すことはできない事に注意して下さい。アインシュタインの言う“等価原理”が成り立つのはごく限られた領域に於いてのみです。

補足説明3
 アインシュタイン自身によるこの問題に対する説明は “相対性理論への反論に関する対話” という以下の論文で与えられています。
A. Einstein,“Dialog u¨ber Einwa¨nde gegen die Relativita¨tstheorie ”, Die Naturwissenschaften, 6 (48), 29. November, 1918年
 これはEinstein Archives Online から入手できます。wikisouceには英訳版もあります。また、この論文に付いてはPauli「相対性理論」§53もご覧下さい。

 

HOME  paradox  2.固有時)()()  3.一様加速)()  4.解決法)()  5.一般相対)()()()()  6.文献

6.参考文献

この稿を作るに当たって、下記文献を参考にしました。感謝!

  1. ランダウ、ジューコフ著(鳥居一雄、広重徹訳)「相対性理論入門」東京図書(1963年刊)
     本稿はこの本に依存しています。これはきちんと書かれていますので、読みこなすにはかなりの努力が必要です。その中の一部§16_p228〜239を別稿で引用。
  2. 石井俊全著「一般相対性理論を一歩一歩数式で理解する」ベレ出版(2017年刊)
     この中の第7章§2の“定重力場(リンドラー座標)”と、§4の“双子のパラドックス”でとても解りやすく説明されていますのでどうぞご覧下さい。
  3. 矢野健太郎著「近代数学新書 相対性理論」至文堂(1967年刊)
     この本の第2章§6、第3章、第4章は別稿「ミンコフスキーの4次元世界」で、第5章は別稿「一般相対性原理と等価原理」で、第6章は別稿「テンソル解析学(絶対微分学)」で、第7章は別稿「テンソル解析学の一般相対性理論への応用」で引用・紹介しています。
  4. ダニエル・フライシュ著(河辺哲次訳)「物理のためのベクトルとテンソル」岩波書店2013年刊)§6-3_p210〜223を引用
  5. キップ・S・ソーン著(林一、塚原周信訳)「ブラックホールと時空の歪み」白洋舎(1997年刊、原本は1994年刊)
     最近読んだのですがとても面白い本です。今まで疑問に思っていた多くの事柄が、まさに私が知りたかった様に適切に説明されていて、久々に読み応えのある本でした。是非読まれることを勧めます。
  6. ランダウ、リフシッツ著「場の古典論(増訂新版)」東京図書(1964年刊)
     この中からp9〜11p24〜25を引用。それ以外に多数引用しています。サイトマップ上で「ランダウ」で検索してご確認下さい。
  7. A.Einstein著(中村誠太郎、五十嵐正敬訳)「自伝ノート(1947年)」東京図書(1978年刊)
     アインシュタインが晩年に記した覚え書きですが極めて含蓄深いものです。この中の一般相対性理論(第5段落)をお読み下さい。
  8. 藤井保憲著「時空と重力」産業図書(1979年刊)
     この中から第1章§5 “固有時と4元速度”(p29〜33)を引用。

[追記2020年3月]

  1. A.Einstein著「自伝スケッチ(1955年)」
     この一文は、Einsteinが亡くなる一ヶ月前の最晩年に、マルセル・グロスマンに対する感謝の気持ち込めて、書いたものです。この後半部分を金子努編訳『未知への旅立ち』(アインシュタイン新自伝ノート)小学館(1991年刊)のp154〜160より引用
  2. 松田卓也、木下篤哉著「相対論の正しい間違え方」丸善(2001年刊)
     この本の第6章を御覧下さい。
  3. J.J.キャラハン著「時空の幾何学」シュブリンガーフェアラーク(2003年刊)
     この本の第4章§4.2“等加速度直線運動”を御覧下さい。
  4. 福江純著「“ブラックホールをねらえ”!」天文教育2002年7月号
     これは、連載記事の8番目“隣のブラックホール【8】”です。旅行の目的地は違いますが、本稿とほぼ同じ状況の旅程について解りやすい説明が有りますのでどうぞご覧下さい。

 文献1.は私が大学1年生(1967年)のときに、部活の先輩(物理学科4年生)から“相対論を学びたいならこれを読んでみては”と紹介されたものです。早速買って読んではみたのですが、第T部のランダウが書いた所(これは後の通俗的な解説の定番となったもの)以外は良く理解できなかったのです。その第T部も多くの初心者と一緒で信じがたいものでした。しかし、第U部の中に記述されている“等加速度運動”の説明だけは記憶の片隅に残っていました。
 その先輩から文献3.も同時に紹介されたと記憶しています。これも早速買って読んではみましたが、最初の特殊相対性理論の歴史的な説明以外はチンプンカンプンで良く理解できませんでした。特にテンソル代数学、テンソル解析学が出てくるとお手上げ状態でした。
 
 教職に就いてからは、相対性理論を勉強し直す暇などまったく無くて、これらの本は実家の倉庫に長い間しまい込んだままでした。ところが、退職してから相対性理論への興味がよみがえったとき文献1.を読み直してみると、確かにこれは名著だと思いました。それで是非この内容を紹介したくてこのページを作りました。
 文献3.については、現在鋭意再学習中です。旨く理解が進みましたらその内容を紹介します。(この補足は 2018年4月に記したのですが、その後再学習が進みましたので、文献3.の下に追記した別稿にて紹介しています。)

HOME  1.paradox  2.固有時)()()  3.一様加速)()  4.解決法)()  5.一般相対)()()()()  6.文献