HOME  粒子の統計性  4.波動性と粒子統計性   著作一覧   文献一覧    相対論的力学   サイトマップ

江沢洋著「シュレーディンガー小伝」みすず書房(1982年)

 本稿は K.プルチブラム編集(江沢洋訳・解説)「波動力学形成史−シュレーディンガーの書簡と小伝−」みすず書房(1982年刊)江沢解説文 第U部 “シュレーディンガー小伝” の中から 第3章、第4章文献表 を引用。文献表を別ページで開いて参照しながらお読み下さい。

3.粒子の統計性
4.波動性と粒子の統計性
  シュレーディンガー著作一覧
  文献一覧

HOME  粒子の統計性  4.波動性と粒子統計性   著作一覧   文献一覧    相対論的力学   サイトマップ

3.粒子の統計性









 上記注*) の“[449]の江沢の章”はこちらで引用



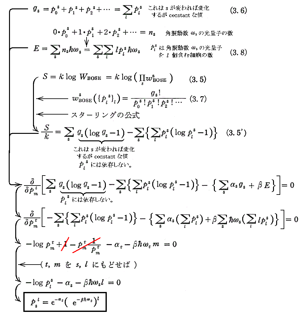
[補足説明1]
 “スターリング(Stirling)の公式”に付いては、「統計力学におけるラグランジュの未定乗数法」の中の 【スターリング(Stirling)の公式】 を復習。
 また、下記で利用する“未定乗数法”に付いては、別稿 「統計力学におけるラグランジュの未定乗数法」 あるいは、「多変数関数の極値とラグランジュの未定乗数法」 を復習。







[補足説明2]
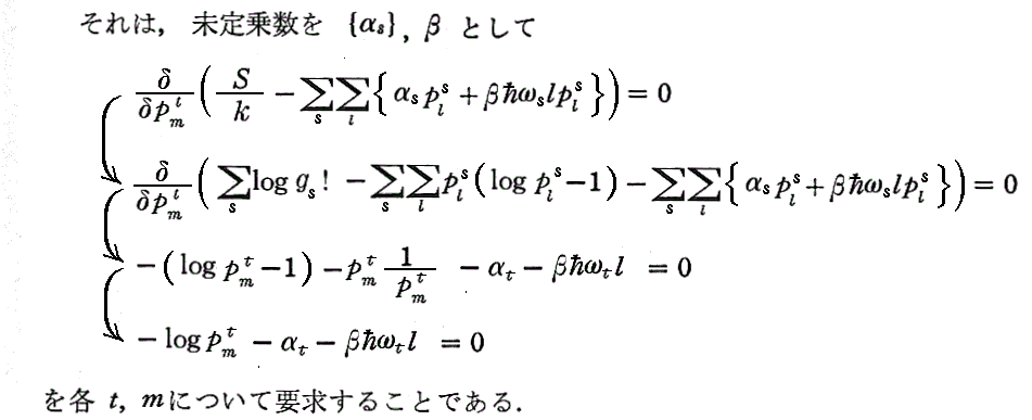
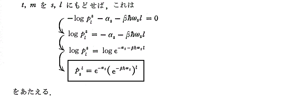
 上記赤下線部の記述に付いては、下記の様に説明される。まず、

が得られる。
 
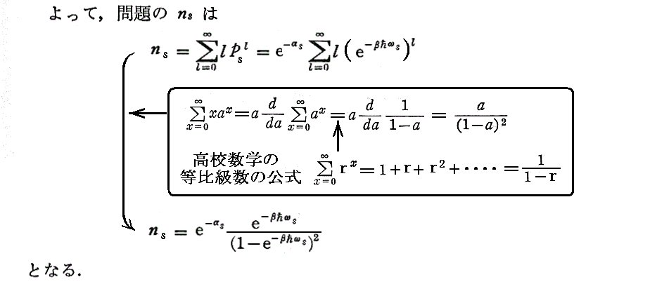
 (3.8) と (3.5’) の関係式を用いると、熱力学に於けるエントロピーの定義式(熱力学第二法則)

    [この式の意味については別稿「絶対温度とは何か(積分因子とは何か)」を参照]
から、直ちに以下の関係式が導かれる。


が得られる。
 未定乗数 α と β の決定法に付いては、別稿「プランクの熱輻射法則」9.(1)5.や、別稿 「統計力学におけるラグランジュの未定乗数法」5. なども参照されたし。



 注*)の論文はこちらを、注**)の論文はこちらを参照されたし。

03-table3.1

 この表に付いては別稿『統計力学におけるラグランジュの未定乗数法』1.[補足説明3]を参照。

03-table3.2

 この表に付いては別稿『統計力学におけるラグランジュの未定乗数法』1.[補足説明4]を参照。


 03-(3.12)


 上式(3.12)に付いては別稿『統計力学におけるラグランジュの未定乗数法』1.[補足説明5]を参照。

 上式(3.13)に付いては別稿『統計力学におけるラグランジュの未定乗数法』1.[補足説明6]を参照。
 更に、別稿原島鮮『熱力学統計力学』13.(3)“量子小正準集団” なども参照されたし。これにはFermi統計の場合に式(3.13)がどう変わるかも説明されています。

 上注*) に付いては別稿『統計力学におけるラグランジュの未定乗数法』1.[補足説明4]を参照。

 





 

 上注*) の論文はこちらです。




 上注*) の論文はこちらです。 上注**) のクーン著「比熱の量子論」は別稿で紹介しています。

 

HOME  粒子の統計性  4.波動性と粒子統計性   著作一覧   文献一覧    相対論的力学   サイトマップ

4.波動性と粒子の統計性





 ここは何を言っているのか解らないと思います。詳細は de Broglie 「学位論文」1.(1)[補足説明1]をご覧下さい。



 上記、de Broglieの論文はこちらで引用しています。

 群速度が粒子速度に一致する事については「学位論文」1.(2)を参照されたし。

 上記の de Broglie の「学位論文」の芝亀吉氏による抄訳版は別稿で紹介しています。上記(4.7)式に関する議論は「学位論文」2.をご覧下さいル





 上記の赤文字で訂正したところについては「学位論文」1.(3)をご覧下さい。江沢先生が言われる 【“体内振動”は不要である】 はもっと別の深い意味で言われているのだと思います。














 上記の150ページの表とはこちらの事です。



 

HOME  粒子の統計性  4.波動性と粒子統計性   著作一覧   文献一覧    相対論的力学   サイトマップ

シュレーディンガー著作一覧











 

HOME  粒子の統計性  4.波動性と粒子統計性   著作一覧   文献一覧    相対論的力学   サイトマップ

参考文献




HOME  粒子の統計性  4.波動性と粒子統計性   著作一覧   文献一覧    相対論的力学   サイトマップ