HOME  .量子条件と振動数条件  2.数学的展開  3.図上での関係  4.対応原理  5.補足  6.文献

 このページを印刷される方はこちらのバージョンをご利用下さい。ブラウザーでは見にくいのですが印刷は鮮明です。

ボーアの水素原子モデル(1913年)

 ボーアの原子モデルは高校物理の最後で習います。しかし教科書の説明は今ひとつわかりません。そのわからない所を説明します。ここでは電磁気学の単位系として高校物理でお馴染みのMKSA有理化単位系を用いています。

1.量子条件と振動数条件

すべての出発点は[ラザフォードの原子模型][ニュートンの運動法則F=ma]である。それに[電気のクーロン法則][円運動の向心加速度式]を適用する。(ラザフォードの原子模型はこちらを参照。またラザフォード模型の困難の詳細はこちらを参照)

 つまり(B)式は原子がみな同じ大きさを持つべき事実を説明するために導入された。(同一種の原子がみな同じ大きさだということは当時常識となっていた)
 (A)式はラザフォードの原子模型から考えられる当然の式なのだが、この式だけからはを決めることはできない。を変えればは任意の値を取れるのだから。そのとき長さ(原子の大きさ)を規定しうるような普遍定数は何だろうか?
 1911年当時、新しい考え方に通じている人々にとってそれは プランク定数h 以外には考えられなかった。そこでボーアが与えた式が(B)である。(1913年)

 この形を探し当てるまで1912年当時のボーアは悶々としていた。その時、友人のハンス・マリウス・ハンセンが「あなたのモデルではスペクトルはどうなるのか(1913年の初め)」と聞いた。ボーアはそのとき何とも言えないと答えたが、ハンセンはバルマーの公式をのぞいてみてはと勧めた。ボーアは「バルマーの式を見ると、たちまち私にはいっさいが明らかになった」と言っている。

 そのときボーアは[原子中の電子は様々な飛び飛びのエネルギー状態(つまりいろいろな軌道半径)を取り、そのエネルギーの間の遷移には輻射が伴い、その輻射の振動数とエネルギーの間の関係は光量子仮説で与えられるものである]という第2の仮説

    

を設けて、第1の仮説(B)式の形

    

にするとすべてがうまく説明できることに気付いた。(B)を導くとき用いたのが「対応原理」である。
 この2つの仮説は古典論に矛盾するが、ボーアはやがて真に正しい理論がわかったときには、それらの矛盾は解決されるはずだといって、その物理的矛盾には目をつぶって、その命題の数学的正しさだけをたよりに理論をおしすすめていった。[L. Rosenfeld著(江沢洋訳・註)“ボーア原子模型の成立”,雑誌「自然」中央公論社(1968年刊)を参照]

 

HOME  1.量子条件と振動数条件  .数学的展開  3.図上での関係  4.対応原理  5.補足  6.文献

2.数学的展開

(1)(2)の条件式を仮定するとすべての事柄がいかにうまくおさまるかを説明する。

)軌道半径の導出

(注意1)水素原子の大きさ

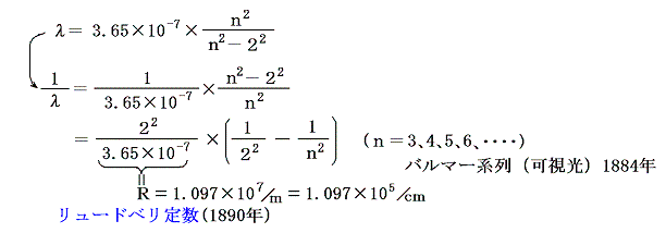
)バルマー公式の導出

(注意2)リュードベリ定数R

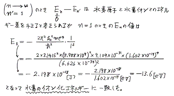
(注意3)水素のイオン化エネルギー

 

HOME  1.量子条件と振動数条件  2.数学的展開  .図上での関係  4.対応原理  5.補足  6.文献

3.図上での関係

拡大版はここをクリック

 

HOME  1.量子条件と振動数条件  2.数学的展開  3.図上での関係  .対応原理  5.補足  6.文献

4.ボーアが量子条件(1)2πr=nh/mvを見つけた手順(対応原理)

)エネルギー準位と量子数

 ボーアは以下のように考えた。まず原子中の電子は様々なとびとびのエネルギー状態(つまりとびとびの軌道半径)のみが許される。次に、そのエネルギー状態間の遷移には輻射が伴い、その輻射の振動数とエネルギーの間の関係はアインシュタインの光量子仮説を満足するとした。つまり

)対応原理

 次に、nが大きい場合Eもおおきく、電子の軌道半径は非常に大きくなり電子は自由電子に近づく。そのときn→n’の遷移で nが1つだけ異なる隣の軌道 n’へ移る場合、軌道半径が非常に大きいので E/h と En+1/h との差は非常に小さくなり、円運動をする電子は円運動による振動数に伴う電磁波を放出(当然その振動数は電子の回転数に等しい)して、エネルギーを失いながら連続的に軌道半径を縮小させながら中心に向かって落ちていくと考えた。
 つまりエネルギーの変化が連続的だと見なせたり、電子が原子内のような小さな領域に束縛されているのではなくて自由電子に近いと見なせるような場合には古典的な電磁気学の理論が使えると考えた。このような考え方を「ボーアの対応原理」という。

ここでnが大きい場合は放射される光の振動数νはn番目の軌道を円運動する電子の回転の振動数

に等しいとおけるとすると(ボーアの対応原理)

[補足説明1]
 ボーアの量子条件(1)式中の h はプランク定数(作用量子)ですが、角運動量の次元を持ちます。
 その為(1)式を変形した

は、原子核の周りを回る電子軌道の [角運動量rmv] が h/2π の整数倍のみを取ることができる事を示している。

 

HOME  1.量子条件と振動数条件  2.数学的展開  3.図上での関係  4.対応原理  .補足  6.文献

5.補足

)ド・ブロイの仮説

 高校物理では量子条件(1)の根拠としてド・ブロイの“物質波の仮説”を用いて説明しますが、その様な解釈ができると解ったのはずっと後(1924年)でした。
 ド・ブロイは特殊相対性理論から導かれる[運動物体のエネルギー]を光量子とのアナロジーで[振動数]に対応させ,一般の粒子も“運動エネルギー”E=hν、“運動量”p=h/λを持つとした。つまり p=mv とすると h/mv=λ になる。
 そのため、原子核の周りを回る電子軌道に対するボーアの量子条件(1)は

 この事については ド・ブロイの「学位論文(1924年)」3.(1)や、村上氏に依る その解説「ルイ・ド・ブロイの功績」4.を、更に別稿「アインシュタインの特殊相対性理論(1905年)」3.(2)2.[補足説明7]、あるいは「相対論的力学」3.(4)の[補足説明4]などを参照されたし。

 

)バルマーの公式

バルマーは1884年に水素原子の可視光におけるスペクトル線の波長を調べてその間に成り立つ驚くべき関係を見つけた。バルマーが見つけた状況を別ページで説明。(http://web.lemoyne.edu/~giunta/balmer.html)

 ここでの議論にはリュードベリがしたように波長λの逆数の方が便利です。リュードベリは1890年にバルマーの公式を以下のように変形すると、公式にかかる定数が、原子の種類や系列の違いに依らない普遍定数となることを発見した。そのためこの形の定数をリュードベリ定数Rと呼ぶ。

補足説明1
 もちろん、原子の種類(原子番号Z)が変わると中心核の電荷(中心核電荷=Z×e)が変わるので、公式の形は水素(中心核電荷=1×e)の場合と違ってくる。
 しかし、その効果は 1/n2 や 1/n'2 の前にかかる補正項 (Z−Sz2 や (Z−Szn'2 で調整されるのでリュードベリ定数Rの値そのものは変化しない。
 このとき補正項中の Sz や Szn'遮蔽定数と言われるもので、Z や n や n’ の値ごとに異なる数値で調整される実験補正項です。こういった遮蔽定数の調整で旨く行くのも別項「化学結合(イオン化エネルギーと電子親和力」で説明した様なメカニズムが働くからです。詳細は別稿「モーズリーの法則(1914年)と周期律における原子番号」参照。

 

HOME  量子条件と振動数条件  2.数学的展開  3.図上での関係  4.対応原理  5.補足  6.文献

6.参考文献

  1. N. Bohr, “The Constitution of Atoms and Molecules(PartT)”, Phil. Mag., Ser. 6, Vol. 26, p1〜25, July 1913年
    (http://www.chemteam.info/Chem-History/Bohr/Bohr-1913a.html からダウロード可)。
    物理学史研究刊行会編「物理学古典論文叢書10 原子構造論」東海大学出版会(1969年刊)論文8
    に日本語訳あり。また文献4.に江沢先生の〔訳注〕として部分訳が収録されています。
  2. N. Bohr, “The Constitution of Atoms and Molecules (PartU)”, Phil. Mag., Ser. 6, Vol. 26, p476〜502, Sep. 1913年(ネットから無料ダウンロード可)
  3. N. Bohr, “The Constitution of Atoms and Molecules (PartV)”, Phil. Mag., Ser. 6, Vol. 26, p857〜875, Nov. 1913年(ネットから無料ダウンロード可)
  4. L. Rosenfeld著(江沢洋訳・註)“ボーア原子模型の成立”,雑誌「自然」中央公論社, 23, No.4,p56〜70, No.5,p54〜67, No.6,p68〜77, 1968年
     これは、ボーア理論50周年の記念として上記三部作論文を収録して出版された本“On the Constitution of Atoms and Molecules(1963)”にローゼンフェルトが寄せた解説文を、江沢先生が翻訳され[訳註]を書き添えられたものです。
    [2015年5月追記]
     上記翻訳は「ボーア革命」日本評論社(2015年1月刊)として再販されています。それを買って、江沢先生の[訳注]・[解説講演]に導かれながら改めて読み直してみたのですが、ボーアの考察に対する認識を新たにしました。また、アインシュタインの誘導放射の理論の意味がやっと解りました。
  5. N.Bohr, “原子の構造について”, ノーベル賞講演(1922年12月11日)
    中村誠太郎、小沼通二編「ノーベル賞講演 物理学3.1915〜1922”講談社(1980年刊)に日本語訳あり。

参考文献追記[2019年8月]

  1. モリス・H・シャモス編著(清水忠雄監訳、大苗敦・清水祐公子訳)「物理学をつくった重要な実験はいかに報告されたか」朝倉書店(2018年刊)
     このp355〜374より “水素原子” を引用。この中に、上記文献1.の抄訳を含む。
HOME  1.量子条件と振動数条件  2.数学的展開  3.図上での関係  4.対応原理  5.補足  6.文献