HOME  目次 1.Liouville定理 2.平均値計算 3.小正準集団 4.正準集団 5.大正準集団 END

第11章 Liouvilleの定理と各種集団(アンサンブル)

 これは、原島鮮著「熱力学統計力学」倍風館(1966年刊)の第11章からの引用です。ただし、解りやすくする為にかなり改変しています。

10.統計理論の問題
11.Liouvilleの定理と各種集団(アンサンブル)

     (1)Liouvilleの定理
     (2)力学的諸量の平均値の計算
     (3)小正準集団(Microcanonical ensemble)
     (4)正準集団(Canonical ensemble)
     (5)大きな正準集団(Grand canonical ensemble)
12.量子統計
13.局所体系と非局所体系

HOME  目次 1.Liouville定理 2.平均値計算 3.小正準集団 4.正準集団 5.大正準集団

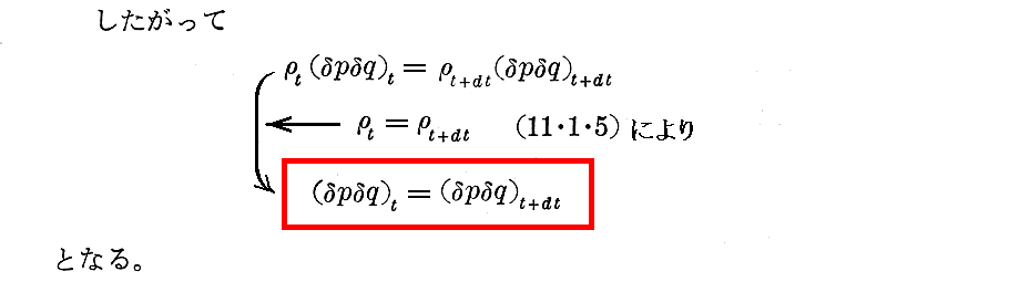
(1)Liouville(リゥヴィル)の定理





 















 

HOME  目次 1.Liouville定理 2.平均値計算 3.小正準集団 4.正準集団 5.大正準集団

(2)力学的諸量の平均値の計算

.エルゴード理論の立場














 

.等しいア・プリオリ確率の仮定の立場




 

.統計力学の根本仮定




 

HOME  目次 1.Liouville定理 2.平均値計算 3.小正準集団 4.正準集団 5.大正準集団

(3)小正準集団(Microcanonical ensemble)

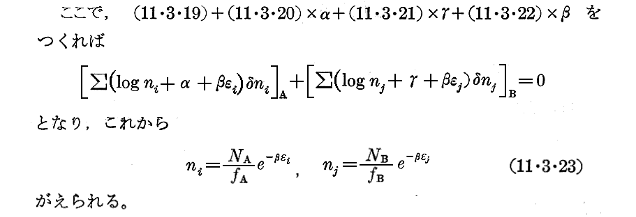
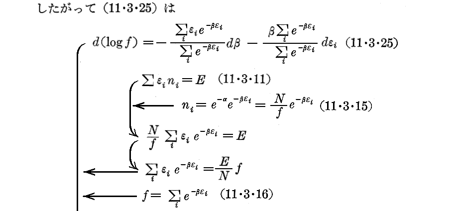
.最大確率の分布関数 と Lagrangeの未定乗数法







 エネルギー方程式(11・3・4)に付いては別稿『調和振動子(自由振動、強制振動、減衰振動、強制減衰振動)』2. (1) などを復習。





 ここは、別稿『統計力学におけるラグランジュの未定乗数法』1.[補足説明5} あるいは 同ページの4〜5. なども参照されたし。








 

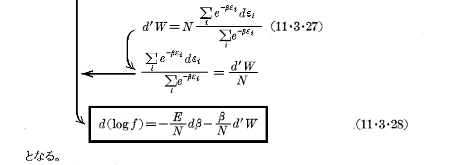
.未定乗数βの意味







 






補足説明1
 いきなり“ヘルムホルツの自由エネルギー”が出てきて面食らわれたと思います。原島氏のこの当たりの説明は解りにくい。
 実際のところ β は絶対温度に関係する量と見なすしかないのですが、絶対温度T は熱力学的な考察からしか導入できません。その為、β は 絶対温度T を積分因子として導入する エントロピーS とも密接に関係します。そのため、(11・3・28)式は、熱力学関数のいずれかと対応するはずです。
 そのとき、別稿「絶対温度とは何か(積分因子とは何か)」8.(2)で説明した熱力学関数の全微分表現

の中のどれに対応すべきかと考えたとき、“ヘルムホルツの自由エネルギー”の表現に対応するだろうと言うことです。
 それぞれの熱力学関数の間を取り持つルジャンドル変換の意味については別稿ルジャンドル変換とは何か(Legendre transformation)」4.を復習されて下さい。
 また、ここの議論については久保亮五著「統計力学」5.“熱力学と熱力学の基本法則”5.(3)2.も参照されて下さい。ただし、久保氏の説明も解りにくいです。
 
 いずれにしても、《統計力学》【絶対温度】【エントロピー】 の概念を導入するには、[熱力学関数][分配関数]の性質の類似性を用いる以外にはありません。ここが、統計力学理論で最も重要なところであると共に、最も解りにくいところです。
 
 ここは。Max Planck が、彼の熱輻射法則を発見する過程で用いたやり方が最も優れていると思います。
 それは11.(3)4.[補足説明1]
 『(11・3・46)式はエントロピーの確率表現を与えるものですが、BoltzmannのH定理を用いて、もっと一般的な議論でもって導く事ができます。その事に付いては別稿テル・ハール「熱統計学」第1章「Maxwell分布」(5)〜(7)で説明されていますのでどうぞ御覧ください。さらに詳しい説明は、同文献の第4章にあります。』
と、説明した様にBoltzmannが得たエントロピーの確率表現を熱力学第二法則に適用して(11・3・30)式を求めるやり方です。それは別稿『プランクの熱輻射法則(1900年)』9.(1)5.で展開されています。『プランクの熱輻射法則(1900年)』9.(1)5. と 『プランクの熱輻射法則(1900年)』10.まとめ. の説明も御覧ください。
 実際のところ、Max Planck はこの考察を通じて ボルツマン定数kBプランク定数h を発見できたのです。エントロピーの確率表現式にボルツマン定数kB を書き入れたのは Max Planck であることはよく知られています。





 

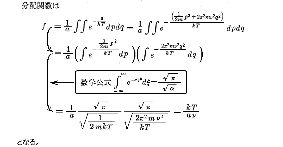
.分配関数( N個の1次元調和振動子系 → N粒子理想気体系 )





 上記の数学公式は、別稿「マクスウェルの速度分布則1」2.(2)を復習されたし。

補足説明1
 ここも、何が言いたいのか良く解らないが、要するに、1次元調和振動子のポテンシャル曲線が上記の様なものと考えれば、1次元調和振動子がN個含まれる系は、N個の粒子が理想気体として有限体積中に含まれる系と同等であると考える事ができる事を言いたいのだろう。
 
 その場合、分配関数中のポテンシャルエネルギーが関係する部分が無視できる事を言いたいのだろう。







 流体静力学による導出は別稿「Einsteinのブラウン運動理論(1905年) と Perrinの検証実験」4.(3)を復習されたし。

 

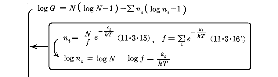
.エントロピーの統計力学的表現









補足説明1
 (11・3・46)式はエントロピーの確率表現を与えるものですが、BoltzmannのH定理を用いて、もっと一般的な議論でもって導く事ができます。その事に付いては別稿テル・ハール「熱統計学」第1章「Maxwell分布」(5)〜(7)で説明されていますのでどうぞ御覧ください。さらに詳しい説明は、同文献の第4章にあります。
 
 エントロピーS と Boltzmann定数k の次元については、別稿「統計力学」1.(3)[補足説明1]、あるいは1.(4)1.[補足説明1]、等々を復習されたし。
 
 エントロピーの確率表現式を求める時に最も重要なのは logΩ の前に 普遍換算定数k が掛かっている事です。式(11・3・46)を導く過程は、その事を説明するものでなければいけません。
 この事に関しては別稿「プランクの熱輻射法則(1900年)」10.“まとめ”と、同稿の5.(2)2.を御覧ください。

 

HOME  目次 1.Liouville定理 2.平均値計算 3.小正準集団 4.正準集団 5.大正準集団

(4)正準集団(Canonical ensemble)

.エネルギーの交換










 

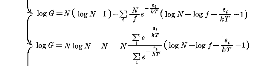
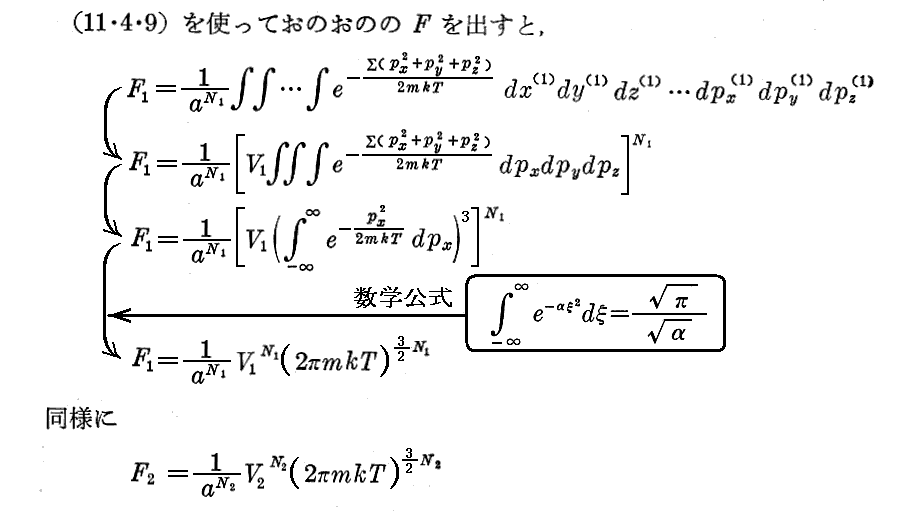
.正準集団の分配関数










 

.同種粒子の統計性









 “Stirlingの公式”については別稿「統計力学におけるラグランジュの未定乗数法」2.を参照





補足説明1
  実際のところ、同種粒子の統計性に関して上述の様な事をしなければならない事を最初に指摘したのは、Gibbsの様です。そのとき、Gibbsは古典統計力学の範囲でそのことに気付いたのですが、その事の更に詳しい解明はBose,EinsteinやFermi,Diracなどによる量子理論に基づいた検討が必要でした。
 
 上記の例題については、別稿「統計力学」2.(7)[補足説明5]以下の説明も参照されて下さい。


 

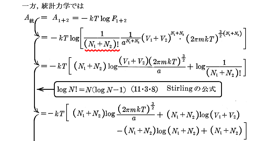
.いくつかの例題

 

[例1]





 “Stirlingの公式”は上記の形に書かれる場合もある。別稿「統計力学におけるラグランジュの未定乗数法」2.参照。


 4・1は引用していませんが、式(11・4・20)に付いては別稿『熱力学関数(状態方程式曲面)の性質』3.(3)2.を、式(11・4・21)については同別稿の3.(4)1.をご覧下さい。

 

[例2]

 回転の運動エネルギー、角運動量、慣性モーメント、等々については別稿『回転運動の運動方程式』1.(2)を参照されたし。2原子分子の重心のまわりの回転運動のエネルギー表現式については以下を参照されたし。
  
  




 マイヤーの関係式については、別稿『気体のモル比熱(マイヤーの関係式)』を参照されたし。

 以上の様に、比熱比γ=1.4に成るのは二原子分子の場合です。気体の比熱比については、別稿『音速の理論2(分子速度と比熱比)』2.(2)〜(3)を参照されたし。

 

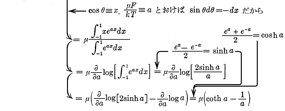
[例3]


 電気2重極モーメントが、外部電場F中で持つ位置エネルギーについては別稿『回転運動の運動方程式』1.(2)を参照されたし。
    


 

HOME  目次 1.Liouville定理 2.平均値計算 3.小正準集団 4.正準集団 5.大正準集団

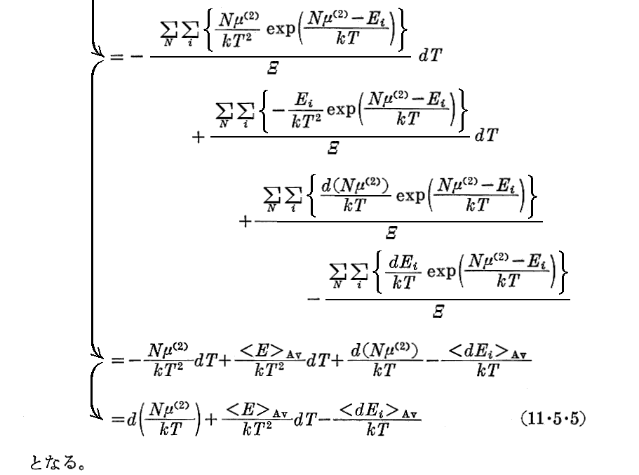
(5)大きな正準集団(Grand canonical ensemble)





 式(11・4・2)こちらを参照式(11・3・42)こちらを参照










 

 

HOME  目次 1.Liouville定理 2.平均値計算 3.小正準集団 4.正準集団 5.大正準集団