HOME  目次 1.純粋と混合 2.量子Liouville定理 3.エルゴード定理 4.等ア・プリオリ確率と無秩序ア・プリオリ位相 END

第12章 量子統計

 これは、原島鮮著「熱力学統計力学」倍風館(1966年刊)の第12章からの引用です。ただし、解りやすくする為にかなり改変しています。

10.統計理論の問題
11.Liouvilleの定理と各種集団(アンサンブル)
12.量子統計
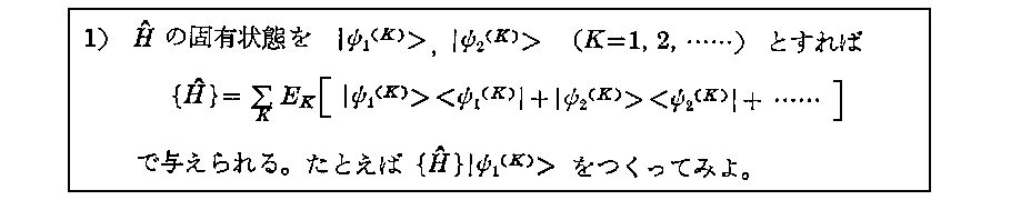
     (1)純粋集団と混合集団 密度行列
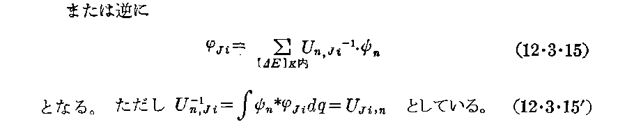
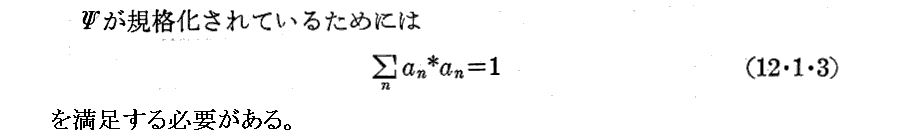
     (2)量子力学のLiouvilleの定理
     (3)エルゴードの定理
     (4)等しいア・プリオリ確率と無秩序なア・プリオリ位相の仮定
13.局所体系と非局所体系

HOME  目次 1.純粋と混合 2.量子Liouville定理 3.エルゴード定理 4.等ア・プリオリ確率と無秩序ア・プリオリ位相 END

(1)純粋集団と混合集団 密度行列






 マトリックス(行列)の積に付いてはこちらを参照








HOME  目次 1.純粋と混合 2.量子Liouville定理 3.エルゴード定理 4.等ア・プリオリ確率と無秩序ア・プリオリ位相 END

(2)量子力学のLiouvilleの定理











HOME  目次 1.純粋と混合 2.量子Liouville定理 3.エルゴード定理 4.等ア・プリオリ確率と無秩序ア・プリオリ位相 END

(3)エルゴードの定理











 


 下記11・2の(1)の項はこちらです

 

 

 























HOME  目次 1.純粋と混合 2.量子Liouville定理 3.エルゴード定理 4.等ア・プリオリ確率と無秩序ア・プリオリ位相 END

(4)等しいア・プリオリ確率と無秩序なア・プリオリ位相の仮定











 

HOME  目次 1.純粋と混合 2.量子Liouville定理 3.エルゴード定理 4.等ア・プリオリ確率と無秩序ア・プリオリ位相 END