HOME   光量子論(1905年)  光量子論(1906年)  光量子論と比熱(1907年)  光の二重性(1909年_1)  輻射の本質(1909年_2)  サイトマップ

アインシュタインの光量子論(1907年 比熱の理論)

 アインシュタインの光量子説第3論文(1907年)を紹介します。これは量子論による比熱の説明としても有名です。
 以下の訳文は文献1.より引用した。左欄に記入の数字は原論文のページ数です。ただし、解りやすくする為に少し改変しています。元の表現はこちらでご確認下さい。




 上記1)の文献は  光量子論(1905年) と 光量子論(1906年) です。



[補足説明1]
 上記文献1)は邦訳版を別稿で引用していますので参照されて下さい。また江沢文献6.統計力学へのアインシュタインの寄与」もご覧下さい。







[補足説明2]
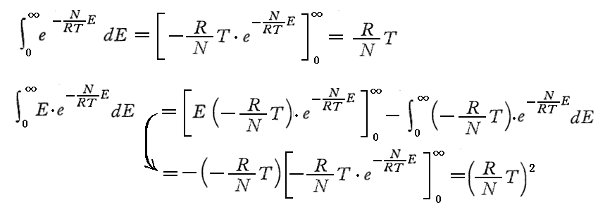
 上記(4)式の積分計算は下記のとおり。


 (5)式は 「プランクの熱輻射法則(1900年)」3.(1)3. あるいは 下記文献1)のp99 を参照されたし。
 (6)式“Rayleighの式”は 「完全輻射の法則についての注意(1900年)」 を参照されたし。

[補足説明3]
 上記のプランク著書は、「熱輻射論(1906年初版本)」(物理科学の古典7)東海大学出版会(19075年刊)として邦訳本があります。ところで、この邦訳本は長い間絶版状態でしたが、2021年6月に、「熱輻射論講義」(岩波文庫)として再版されています。
 この本(特に初版本)は、アインシュタインの特殊相対性理論(1905年)原論文と並んで、一度は読んで見るべき本だと思います。








[補足説明4]
 広重文献15-3.“光量子と比熱” と、9-4.“アンサンブルの理論” とで説明されている様に、アインシュタインはGibbsの正準分布理論に相当するものを独自に開発して、その統計理論を用いてエネルギー平均値を求めています。その統計理論に対するアインシュタインの説明が十分では無いので、ここの計算過程は非常に解りにくい。
 
 ここの議論を理解するにはファインマン物理学U.の16-2.“輻射の熱平衡”16-3.“エネルギーの均等分配と量子振動体” や 久保亮五著「統計力学」2.(5)2.[補足説明2]などをご覧下さい。その時、江沢文献6.「統計力学へのアインシュタインの寄与」p120_121などもご覧下さい。





[補足説明5]
 以下で、固体比熱の異常性に関係する2つの疑問が挙げられ、それに対するEinsteinの解答が展開されています。
 ただし、ここの説明はかなり解りにくいと思いますので、江沢文献「統計力学へのアインシュシタインの寄与」p126〜127を参照されてから以下の文節をお読み下さい。
 江沢文献にも書かれているように、異常性2.の真の解決には "フェルミ・ディラック統計" の知識が必要です。そのことに付いては、別稿の久保亮五著「統計力学」3.(4)[例5]などを参照されたし。































参考文献

  1. 物理学史研究会編「物理学古典論文叢書2 光量子論」東海大学出版会(1969年刊)
     本稿は、この中の3. A.Einstein著「輻射に関するPlanckの理論と比熱理論」の引用です。
    Einstein, “Die Plancksche Theorie der Strahlung und die Theorie der Spezifischen Wa¨rme”, Annalen der Physik. 22, 180〜190, 800, 1907年
     原論文は、下記URLにて閲覧可。これはプリンストン大学のアーカイブスの独文原本と英訳版のURLです
    https://einsteinpapers.press.princeton.edu/vol2-doc/414
    https://einsteinpapers.press.princeton.edu/vol2-trans/228#,
  2. 物理学史研究会編「物理学古典論文叢書2 光量子論」東海大学出版会(1969年刊)
     この中の1. A.Einstein著「光の発生と変脱とに関する一つの発見法的観察について」が光量子説の第1論文です。
  3. 物理学史研究会編「物理学古典論文叢書2 光量子論」東海大学出版会(1969年刊)
     この中の2. A.Einstein著「光の発生と光の吸収の理論について」が光量子説の第2論文です。
  4. 広重徹 著 『物理学史T』〈新物理学シリーズ 6〉培風館、1968年3月 (原著1966年)
     この中から。 9-4.“アンサンブルの理論” を引用。
    広重徹 著 『物理学史U』〈新物理学シリーズ 6〉培風館、1968年3月 (原著1967年)
     この中から、 15-3.“光量子と比熱” を引用。
  5. 江沢洋著「統計力学へのアインシュタインの寄与」
     これは、アイヘルブルク、ゼクスル編「アインシュタイン」岩波現代選書(1979年刊)の中からの引用です。
  6. A.Pais 著「神は老獪にして・・・」産業図書(1986年刊) より引用
    U.統計物理 4.〜5.  4.エトロピーと確率 5.分子の実在性
    Y.量子力学 19.〜21. 19.光量子 20.アインシュタインと比熱 21.光子 
  7. ファインマン物理学U.「光、熱、波動」 より引用
    16.「ブラウン運動」の16-2.“輻射の熱平衡”16-3.“エネルギーの均等分配と量子振動体”
  8. 吉田伸夫 著「思考の飛躍(アインシュタインの頭脳)」新潮社(2010年刊) より引用
     第4章“光の統計力学を求めて”−量子論 を別稿で引用。
  9. Thomas S. Kuhn 著 「比熱の理論(1974年)」
     西尾成子 編 「アインシュタイン研究」 中央公論社(1977年刊)のp249〜266より引用
HOME    光量子論(1905年)  光量子論(1906年)  光量子論と比熱(1907年)  光の二重星(1909年)  サイトマップ