HOME  目次  (1)12.(2) (3) (4) (5) (6) (7)  (8) (9)  (10) (11) (12) 12.(13) 12.  (14)123.(15) (16) (17) 付録AB

統計力学

 統計力学の基本的な応用例を説明します。これは、久保亮五著「統計力学(改訂版)」共立出版(1952年、改訂版1971年刊)の第6章からの引用です。ただし、解りやすくする為にかなり改変しています。

1.はじめに
2.統計力学の基本的な考え方
3.統計力学の基本的な応用例
4.統計力学の平衡条件と巨視的状態量
5.統計力学と熱力学の基本法則
6.統計力学の応用

   A.古典的近似
     (1)古典統計力学的近似
        1.ハミルトニアン
        2.古典統計力学的近似
     (2)古典統計力学的近似におけるカノニカル分布
     (3)エネルギー等分配の法則
     (4)外力の場にある理想気体
     (5)双極性気体
     (6)混合気体
     (7)不完全気体の古典的近似
   B.F.D. および B.E. の統計
     (8)T-μ分布による F.D. および B.E. 統計の取り扱い
     (9)縮退したフェルミ気体の取り扱い
   C.化学反応の平衡
     (10)気体反応
     (11)蒸気圧
     (12)金属からの電子の蒸発
        1.熱電子放射
        2.接触電位差
     (13)半導体内の電子
        1.N型半導体
        2.P型半導体
   D.格子の統計力学
     (14)理想的混合結晶
        1.理想的な混合結晶
        2.最近接相互作用の仮定
        3.配置のエントロピー
     (15)理想的でない混合結晶
     (16)合金の秩序無秩序
     (17)強磁性体のイジング模型
付録
   A.縮退したフェルミ粒子系に関する積分公式
   B.ボーズ-アインシュタイン凝縮

HOME  目次  (1)12.(2) (3) (4) (5) (6) (7)  (8) (9)  (10) (11) (12) 12.(13) 12.  (14)123.(15) (16) (17) 付録AB

6.統計力学の応用

A.古典的近似

(1)古典統計力学的近似

1.ハミルトニアン











例1

例2

例3


HOME  目次  (1)12.(2) (3) (4) (5) (6) (7)  (8) (9)  (10) (11) (12) 12.(13) 12.  (14)123.(15) (16) (17) 付録AB

2.古典統計力学的近似











下記の式(2.54)はこちらを、式(2.82)はこちらを、式(3.36)はこちらを参照されたし。

例1

 

HOME  目次  (1)12.(2) (3) (4) (5) (6) (7)  (8) (9)  (10) (11) (12) 12.(13) 12.  (14)123.(15) (16) (17) 付録AB

(2)古典統計力学的近似におけるカノニカル分布










例1




例2








例3


例4


 

HOME  目次  (1)12.(2) (3) (4) (5) (6) (7)  (8) (9)  (10) (11) (12) 12.(13) 12.  (14)123.(15) (16) (17) 付録AB

(3)エネルギー等分配の法則











 

HOME  目次  (1)12.(2) (3) (4) (5) (6) (7)  (8) (9)  (10) (11) (12) 12.(13) 12.  (14)123.(15) (16) (17) 付録AB

(4)外力の場にある理想気体





下記の式(4.102)はこちらを参照されたし。



 

HOME  目次  (1)12.(2) (3) (4) (5) (6) (7)  (8) (9)  (10) (11) (12) 12.(13) 12.  (14)123.(15) (16) (17) 付録AB

(5)双極性気体(dipole gas)









 

HOME  目次  (1)12.(2) (3) (4) (5) (6) (7)  (8) (9)  (10) (11) (12) 12.(13) 12.  (14)123.(15) (16) (17) 付録AB

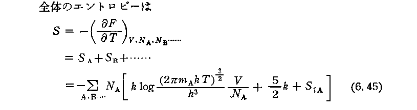
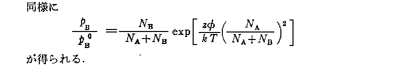
(6)混合気体









 

HOME  目次  (1)12.(2) (3) (4) (5) (6) (7)  (8) (9)  (10) (11) (12) 12.(13) 12.  (14)123.(15) (16) (17) 付録AB

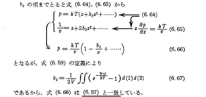
(7)不完全気体の古典的近似

 下記の6.2節の例4.はこちらを参照。





 下記式(6.25)はこちらを参照。













下記の式(6.52)はこちらを参照。


下記の式(4.122)はこちらを参照。


下記の式(4.101)はこちらを参照。




上記の式(6.57)はこちらを参照。


 

HOME  目次  (1)12.(2) (3) (4) (5) (6) (7)  (8) (9)  (10) (11) (12) 12.(13) 12.  (14)123.(15) (16) (17) 付録AB

B. F.D. および B.E. の統計

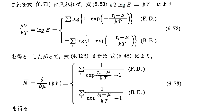
(8)T-μ分布による F.D. および B.E. 統計の取り扱い


下記の式(3.22)はこちらを、式(4.122)はこちらを参照。


下記の式(3.20)はこちらを参照。

下記の式(5.50)はこちらを参照。










 



 






 

HOME  目次  (1)12.(2) (3) (4) (5) (6) (7)  (8) (9)  (10) (11) (12) 12.(13) 12.  (14)123.(15) (16) (17) 付録AB

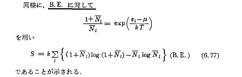
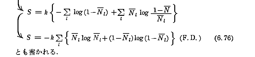
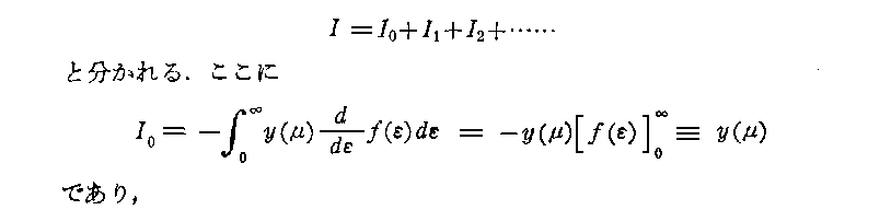
(9)縮退したフェルミ気体の取り扱い

 3.4節はこちらです。


 式(3.30)はこちらで、 (6.73)はこちらです。

 式(2.55)はこちらです。













HOME  目次  (1)12.(2) (3) (4) (5) (6) (7)  (8) (9)  (10) (11) (12) 12.(13) 12.  (14)123.(15) (16) (17) 付録AB

C.化学反応の平衡

 5.4節はこちらです。

(10)気体反応(gas reaction)


 平衡条件゜式(5.62)はこちらです。







 

HOME  目次  (1)12.(2) (3) (4) (5) (6) (7)  (8) (9)  (10) (11) (12) 12.(13) 12.  (14)123.(15) (16) (17) 付録AB

(11)蒸気圧(vapoer pressuer)












 

HOME  目次  (1)12.(2) (3) (4) (5) (6) (7)  (8) (9)  (10) (11) (12) 12.(13) 12.  (14)123.(15) (16) (17) 付録AB

(12)金属からの電子の蒸発

1.熱電子放射









 

HOME  目次  (1)12.(2) (3) (4) (5) (6) (7)  (8) (9)  (10) (11) (12) 12.(13) 12.  (14)123.(15) (16) (17) 付録AB

2.接触電位差





 

HOME  目次  (1)12.(2) (3) (4) (5) (6) (7)  (8) (9)  (10) (11) (12) 12.(13) 12.  (14)123.(15) (16) (17) 付録AB

(13)半導体内の電子

1.N型半導体









HOME  目次  (1)12.(2) (3) (4) (5) (6) (7)  (8) (9)  (10) (11) (12) 12.(13) 12.  (14)123.(15) (16) (17) 付録AB

2.P型半導体









 

HOME  目次  (1)12.(2) (3) (4) (5) (6) (7)  (8) (9)  (10) (11) (12) 12.(13) 12.  (14)123.(15) (16) (17) 付録AB

D.格子の統計力学

(14)理想的な混合結晶

1.理想的混合結晶





HOME  目次  (1)12.(2) (3) (4) (5) (6) (7)  (8) (9)  (10) (11) (12) 12.(13) 12.  (14)123.(15) (16) (17) 付録AB

2.最近接相互作用の仮定






HOME  目次  (1)12.(2) (3) (4) (5) (6) (7)  (8) (9)  (10) (11) (12) 12.(13) 12.  (14)123.(15) (16) (17) 付録AB

3.配置のエントロピー



 

HOME  目次  (1)12.(2) (3) (4) (5) (6) (7)  (8) (9)  (10) (11) (12) 12.(13) 12.  (14)123.(15) (16) (17) 付録AB

(15)理想的でない混合結晶





























 

HOME  目次  (1)12.(2) (3) (4) (5) (6) (7)  (8) (9)  (10) (11) (12) 12.(13) 12.  (14)123.(15) (16) (17) 付録AB

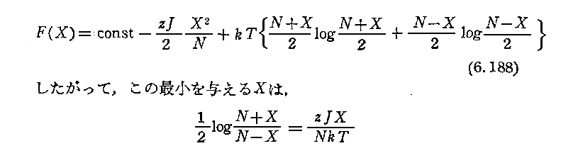
(16)合金の秩序無秩序





















 

HOME  目次  (1)12.(2) (3) (4) (5) (6) (7)  (8) (9)  (10) (11) (12) 12.(13) 12.  (14)123.(15) (16) (17) 付録AB

(17)強磁性体のイジング(Ising)模型












































 

HOME  目次  (1)12.(2) (3) (4) (5) (6) (7)  (8) (9)  (10) (11) (12) 12.(13) 12.  (14)123.(15) (16) (17) 付録AB

付録

A.縮退したフェルミ粒子系に関する積分公式









HOME  目次  (1)12.(2) (3) (4) (5) (6) (7)  (8) (9)  (10) (11) (12) 12.(13) 12.  (14)123.(15) (16) (17) 付録AB

B.ボーズ-アインシュタイン凝縮








HOME  目次  (1)12.(2) (3) (4) (5) (6) (7)  (8) (9)  (10) (11) (12) 12.(13) 12.  (14)123.(15) (16) (17) 付録AB