HOME  TOP  END

 江沢洋著 「現代物理学」 朝倉書店(1996年)

第 1章 力学的な世界観
第 2章 電磁場と光
第 3章 相対性理論(1)
第 4章 相対性理論(2)
第 5章 原子論の発展
第 6章 電子とその役割
第 7章 放射能の発見と原子核
第 8章 量子の発見
第 9章 前期量子論
第10章 量子力学の誕生
第11章 観測の理論
第12章 角運動量の量子力学
第13章 原子の構造
    1.運動エネルギーと角運動量
        1-1.古典力学では  1-2.量子力学では
    2.水素原子の定常状態
        2-1.電子の運動に対する波動方程式  2-2.定常状態の決定  2-3.固有関数
        2-4.存在確率密度
    3.周期律表と原子番号
        3-1.元素の周期律  3-2.周期律の力学的な構成  3-3.X線のスペクトル
        3-4.コッセルの殻構造  3-5.原子番号と原子核の電荷
    4.構成原理
        4-1.電子配置の殻構造  4-2.モーズリーの法則
    5.スピンとパウリの排他原理
        5-1.スピン  5-2.パウリの排他原理
    6.演習問題
第14章 エネルギー準位と物質の構造
第15章 素粒子


本章に付いては 金沢秀夫著 「量子力学」 朝倉書店(1965年)4. 中心力場における運動 も参照されたし。

HOME  1.TOP 1.運動エネルギーと角運動量 2.水素原子の定常状態 3.周期律表と原子番号 4.構成原理 5.スピンとパウリの排他原理 6.演習問題 END


13-1-1


13-1-2






HOME  1.TOP 1.運動エネルギーと角運動量 2.水素原子の定常状態 3.周期律表と原子番号 4.構成原理 5.スピンとパウリの排他原理 6.演習問題 END


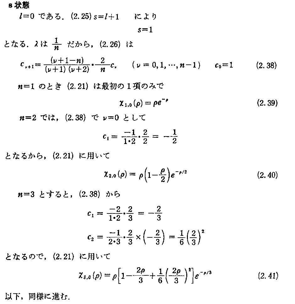
13-2-1


 上記の(10.3.1)と(10.3.2)はこちらを参照。







 上記 §7.5 はこちらを参照。
13-2-2



 上記(9.4.10)はこちらを参照。









 上記の(9.4.10)はこちらです。

 上記の(9.4.12)はこちらを参照。





13-2-3







13-2-4


 上記の図12.2.1 はこちらを、図12.4.3 はこちらを参照。



HOME  1.TOP 1.運動エネルギーと角運動量 2.水素原子の定常状態 3.周期律表と原子番号 4.構成原理 5.スピンとパウリの排他原理 6.演習問題 END


13-3-1





 今日の 周期律表  長周期型周期律表 と比較して見られたし。




13-3-2



13-3-3

周期律表拡大版  長周期型周期律表 



 バークラの特性X線の発見は、「X線結晶解析におけるラウエの条件式とブラッグの条件式」1.(4)を参照、



 ここは、「X線結晶解析におけるラウエの条件式とブラッグの条件式」1.(4)1.[補足説明1]〜[補足説明6]を参照。さらに、Barklaのノーベル賞受賞理由の紹介文と、Siegbahnのノーベル賞受賞理由の紹介文を参照。


13-3-4





13-3-5




 モーズリーの法則については、「モーズリーの法則(1914年)と周期律における原子番号」を参照。







HOME  1.TOP 1.運動エネルギーと角運動量 2.水素原子の定常状態 3.周期律表と原子番号 4.構成原理 5.スピンとパウリの排他原理 6.演習問題 END

 本節は「化学結合(イオン化エネルギーと電子親和力)」も参照されたし。


13-4-1

 上記の図2.2はこちらです。 ボーアのノーベル賞講演は「ノーベル賞講演(1922年12月11日)」です。
























13-4-2

HOME  1.TOP 1.運動エネルギーと角運動量 2.水素原子の定常状態 3.周期律表と原子番号 4.構成原理 5.スピンとパウリの排他原理 6.演習問題 END


13-5-1


13-5-2

HOME  1.TOP 1.運動エネルギーと角運動量 2.水素原子の定常状態 3.周期律表と原子番号 4.構成原理 5.スピンとパウリの排他原理 6.演習問題 END

13-6-1

13-6-2

13-6-3

13-6-4

13-6-5

13-6-6

13-7

HOME  1.TOP 1.運動エネルギーと角運動量 2.水素原子の定常状態 3.周期律表と原子番号 4.構成原理 5.スピンとパウリの排他原理 6.演習問題 END