HOME  TOP §1.ガリレオの業績 §2.ホイヘンスの業績 §3.ニュートンの業績 §4.作用反作用の法則の詳論と具体例 §5.作用反作用の法則と質量概念の批判 §6.ニュートンの空間・時間・運動 §7.ニュートンの力学の包括的批判 END

Ernst Mach著「力学の批判的発展史」

第U章 動力学の原理の発達

“Die Mechanik in ihrer entwichklung”から, 第U章§1〜§7を引用。
 Mach(1838年-1916年)は、この本の初版が1883年に出版されて以降、1912年の第7版まで改訂を繰り返しています。以下の訳文は最終的な版からの引用です。
 Einstein は、相対性理論を作り上げる際に、マッハ『力学』第U章の特に§6〜§7から大きな影響を受けたと語っています。その事に付いてはこちらと、こちらを参照。

HOME  TOP §1.ガリレオの業績 §2.ホイヘンスの業績 §3.ニュートンの業績 §4.作用反作用の法則の詳論と具体例 §5.作用反作用の法則と質量概念の批判 §6.ニュートンの空間・時間・運動 §7.ニュートンの力学の包括的批判 END

§1 ガリレオの業績

2-1-01




2-1-02






2-1-03






2-1-04





2-1-05



2-1-06



2-1-07






2-1-08






2-1-09


2-1-10


2-1-11



2-1-12




2-1-13



2-1-14



2-1-15



2-1-16





2-1-17

2-1-18





2-1-19

2-1-20



2-1-21

2-1-22


2-1-23






 デカルトの『宇宙論』に付いては、こちらを参照されたし。

HOME  TOP §1.ガリレオの業績 §2.ホイヘンスの業績 §3.ニュートンの業績 §4.作用反作用の法則の詳論と具体例 §5.作用反作用の法則と質量概念の批判 §6.ニュートンの空間・時間・運動 §7.ニュートンの力学の包括的批判 END

§2 ホイヘンスの業績

2-2-01

2-2-02


2-2-03




2-2-04






2-2-05

2-2-06

 この事に付いては、
「レーマーが光速度を計算した方法(1676年)」1.(1)[補足説明2]
『プリンキピア』の第3篇、命題19,20
「回転地球に固定された座標系におけるニール(Neil)の放物線とフーコー(Foucault)の振り子
等々を参照されたし。





2-2-07



2-2-08





2-2-09





2-2-10


2-2-11

2-2-12






2-2-13




2-2-142

2-2-15

2-2-16



2-2-17



2-2-18


2-2-19






2-2-20



2-2-21

2-2-22






2-2-23


2-2-24



2-2-25





2-2-26


2-2-27


2-2-28


HOME  TOP §1.ガリレオの業績 §2.ホイヘンスの業績 §3.ニュートンの業績 §4.作用反作用の法則の詳論と具体例 §5.作用反作用の法則と質量概念の批判 §6.ニュートンの空間・時間・運動 §7.ニュートンの力学の包括的批判 END

§3 ニュートンの業績

2-3-01

2-3-02





2-3-03





















2-3-04



2-3-05

2-3-06





2-3-07

2-3-08






2-3-09





2-3-10





2-3-11




2-3-12


2-3-13


2-3-14



HOME  TOP §1.ガリレオの業績 §2.ホイヘンスの業績 §3.ニュートンの業績 §4.作用反作用の法則の詳論と具体例 §5.作用反作用の法則と質量概念の批判 §6.ニュートンの空間・時間・運動 §7.ニュートンの力学の包括的批判 END

§4 作用反作用の法則の詳論と具体例

2-4-01



2-4-02




2-4-03





2-4-04





2-4-05





2-4-06




2-4-07









2-4-10




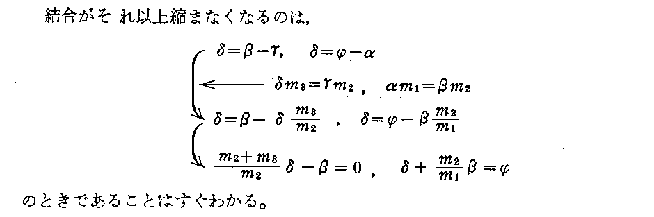
2-4-09


2-4-10

2-4-11





HOME  TOP §1.ガリレオの業績 §2.ホイヘンスの業績 §3.ニュートンの業績 §4.作用反作用の法則の詳論と具体例 §5.作用反作用の法則と質量概念の批判 §6.ニュートンの空間・時間・運動 §7.ニュートンの力学の包括的批判 END

§5 作用反作用の法則と質量概念の批判

2-5-01

2-5-02



2-5-03






2-5-04





2-5-05

2-5-06


2-5-07


2-5-08

HOME  TOP §1.ガリレオの業績 §2.ホイヘンスの業績 §3.ニュートンの業績 §4.作用反作用の法則の詳論と具体例 §5.作用反作用の法則と質量概念の批判 §6.ニュートンの空間・時間・運動 §7.ニュートンの力学の包括的批判 END

§6 ニュートンの空間・時間・運動

2-6-01



2-6-02










 上記文献 4)『熱学の緒原理』に付いては、「絶対温度とは何か(積分因子とは何か)」9.参考文献 を参照。
2-6-03










2-6-04











2-6-05






2-6-06




2-6-07






2-6-08





2-6-09



2-6-10






2-6-11










2-6-12


HOME  TOP §1.ガリレオの業績 §2.ホイヘンスの業績 §3.ニュートンの業績 §4.作用反作用の法則の詳論と具体例 §5.作用反作用の法則と質量概念の批判 §6.ニュートンの空間・時間・運動 §7.ニュートンの力学の包括的批判 END

§7 ニュートンの力学の包括的批判

2-7-01









2-7-02



2-7-03

2-7-04



2-7-05



2-7-06


HOME  TOP §1.ガリレオの業績 §2.ホイヘンスの業績 §3.ニュートンの業績 §4.作用反作用の法則の詳論と具体例 §5.作用反作用の法則と質量概念の批判 §6.ニュートンの空間・時間・運動 §7.ニュートンの力学の包括的批判 END