HOME  .黒体  2.光の放射と吸収  3.キルヒホフの法則)()()()()()  4.参考文献  5.まとめ

 このページを印刷される方はこちらのバージョンをご利用下さい。ブラウザーでは見にくいのですが印刷は鮮明です。

キルヒホッフの法則(熱的放射平衡における 1859〜1860年)

 物質と輻射の熱的平衡において成り立つ有名な法則ですがその論理は複雑で込み入っています。できるだけ解りやすく説明します。

1.黒体とは

 高温の物体は電磁波を放出して輝くことは知られている。19世紀後半のドイツでは工業の発展とともにまた分光学の確立とともに、この輻射のメカニズムと、その正確な分布の解明が着目されていた。この解明に本質的な役割を果たしたのが、“黒体放射”の概念である。
 今一つの空洞を考える。その壁は一定の温度に保たれているとする。空洞中の輻射はまわりの壁と熱平衡を実現し壁と同じ温度Tにあるであろう。このとき、空洞内は場所によらない一様な輻射でみたされた熱力学的な系となり、その性質は壁の中で起こっている物理的・化学的な放射・吸収の過程にはよらない。(証明は2.と3.参照)

 上記の空洞に小さな穴を開け、その穴を通して出てくる輻射を観測できるようにしても内部の平衡が乱されることは無いであろう。また、外からこの小穴に入った輻射は次々と壁での反射と吸収を繰り返して空洞内の輻射に同化していく。この穴の様に外からの輻射を完全に吸収してしまう面は”黒い”と言われる。その様に外からの輻射を完全に吸収してしまうような温度Tの面からの輻射を「黒体放射」という。つまり前記の小穴から漏れ出てくる輻射がそれである。そのため黒体放射のことを別名「空洞放射」とも言う。
 普通の物体の輻射は黒体放射ではないが、理論を正確に組み立てるためには、輻射についての厳密な定義と理想化が必要である。実際は理論の定式化の過程で徐々に黒体の概念が確立し、その実験的な検証装置として空洞放射が重要な意味を持ってきたのである。初期の理論と測定値との食い違いには、この概念の認識不足からくるものが大きかったので、黒体の概念はとりわけ重要である。

 

HOME  1.黒体  .光の放射と吸収  3.キルヒホフの法則)()()()()()  4.参考文献  5.まとめ

2.光の放射と吸収(キルヒホフの法則の簡単な説明)

 1859年に Gustav Robert Kirchhoff は以下の法則を証明した[Monatsbericht der Akad. d. Wiss. zu Berlin. Dec. 1859年(東海大学出版会「物理学古典論文叢書1」)]。

[キルヒホフの法則]
 同一温度に於ける同一波長の輻射に対して、輻射能E吸収能aの比はあらゆる物体において同一である。言い換えれば、『あらゆる物体の輻射能と吸収能の比は温度と波長のみの関数』で他の性質には依存しない。

 ここで“輻射能”Eとは物体表面の単位面積を単位時間に出る放射エネルギー(J/m2s)のことであり、“吸収能”aとはある物体表面の面積に投射された入射エネルギーの内で、その面に吸収され物体内の熱に替わるエネルギーの割合(無次元量)の事である。
 同じという言葉が用いられているが、両者の物理的意味(その次元)は全く異なることに注意。

 このことについてはキルヒホッフ以前に色々な人が考察している。接近した二物体間に輻射平衡が成り立ち、両者の温度が等しく成ったにもかかわらず両者の輝きが異なることは良くある。その様な場合でも平衡が成り立つということはどういう事かを考察したもので輻射の平衡を考える上での出発点である。

[キルヒホフの法則の簡単な証明]
 キルヒホフは無限に広い等温度の物質CとC’が向かい合っており、その背面は完全な反射面RとR’である系を考えた。Cの単位面積を単位時間にでる放射エネルギーを“輻射能”と呼びで表す。Cに入射した輻射エネルギーの内でCに吸収されるものの割合を“吸収能”と呼びで表す。同じ能という言葉が付いているが E(J/m2s)a(無次元量) の物理的意味は全く異なることに注意。

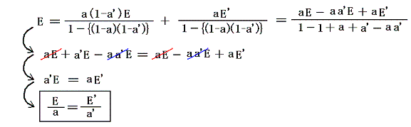
 このCとC’の間に存在する輻射の平衡状態を考える。Cが放射Eを出すと、C’はa’Eを吸収し、(1-a')EをCに向かって反射する。そのうちのa(1-a')EがCに吸収され、残りの(1-a)(1-a')EがC’に向かって反射される。以下同様に考えると、下図の左側の無限級数の和が、Cが自ら発した放射Eの内で取り戻したものである。

 同様にC’が放射E’を出すとすると、上記と同じように考えると下図の様になる。下図の左側の無限級数の和が、C’が放射したエネルギーの内でCが受け取る量である。

 今、平衡状態が達成されていてCの温度が変わらないとすれば、Cの放射Eは、上記のCが受け取る二つの放射の和に等しいはずである。つまり

C’の温度が一定に保たれているという条件で展開しても全く同様な結論が得られる。
[証明終わり]

 何かごまかされたような証明であるが、証明を通じて輻射能E吸収能aがこのような意味を持つ量であると定義されると考えれば良いのだろう。
 ここでa’=1の物体が黒体であることを考えれば、上記の結論は [任意の物体Cの輻射能E] を [任意の物体Cの吸収能a] で割ったものは、同じ温度の黒体の輻射能に等しい。実際、C’が黒体であると仮定すると

となる。
 すなわち任意の物体の輻射能Eは、同じ温度の黒体の輻射能E’にその任意の物体の吸収能aを乗じたものに等しいことを示している。つまり、吸収能が大きければ大きいほど、任意の物体は同じ温度でもそれだけ多くの光を出す。ここで俄然、黒体がクローズアップされてくる。つまり

 上記の結論よりあらゆる物体の“輻射能”と“吸収能”の比は温度と波長のみの関数で物体の性質にはよらない。これに黒体の吸収能が1であることを組み合わせれば、あらゆる物体の“輻射能”と“吸収能”の比(E/a)は同一温度の黒体の“輻射能”E’に等しく、かつ“黒体が何でできているかには関係なく、黒体の輻射能は温度と波長だけで決まる”が言える。

補足説明1
 黒体とは逆に放射を完全に反射する物体(白い物体a=0)を考えることができる。そのとき“白い物体”について次の事が言える。

 a=0の“白い物体”は、輻射を放出する事はできない

[証明]
 仮にもしそのような物体が輻射を放出するのなら、その物質で壁面を作った空洞A(輻射は放出できると仮定している)と普通の物体(0<a<1)で作られた空洞Bを一つの小さな穴で結びつけると、空洞Aの壁面が放射する輻射により空洞Bは温められるが、空洞Aはa=0だから輻射により温められることはできない上に輻射放出はできると仮定しているので空洞Aは冷却する一方となる。
 そのため、独りでにAとBの間に温度差をつくることができることになり熱力学の第二法則に矛盾する。故に空洞Aの壁面が輻射を放射できるという仮定がまちがっている。
[証明終]

 この当たりはA.ウンゼルト著(小平桂一訳)「現代天文学 新しい宇宙の姿を求めて」岩波書店(1978年刊) p117〜118の説明も明快ですので別ページで引用。

 

HOME  1.黒体  2.光の放射と吸収  .キルヒホフの法則()()()()()()  4.参考文献  5.まとめ

3.キルヒホフの法則の厳密な証明

 キルヒホフの源論文[Pogg. Ann. 109, 275, 1860年(東海大学出版会「物理学古典論文叢書1」)]の説明は非常に解りにくいので、マックス・プランクが彼の著書で展開した方法で説明する。
 マックス・プランク著 物理科学の古典7 「熱輻射論」 東海大学出版会(1975年)の第1部より
原本はMax Planck 「Vorlesungen u¨ber die Theorie der Wa¨rmestrahlung」(初版1906年〜第5版1923年)

(1)輻射のエネルギー流( K と Rν )

 熱は伝導輻射によって伝播する。熱伝導は媒質の温度勾配に依存するが、輻射は透過する媒質の温度に依存しない(氷で作ったレンズで太陽光を集めて加熱できることを考えてみれば明らか)。
 またある一点に於ける輻射の状態は熱伝導の様に一つの方向を持ったベクトルで特徴づけることはできず、あらゆる方向の輻射線の効果を考慮しなければならない。そのとき、ある一点を通過する輻射線はすべて互いに完全に独立で、一方への輻射は他方への輻射に全く依存しない。このため熱伝導よりも遙かに複雑な取扱が必要になる。
 熱輻射線はいわゆる光線と全く同様な電磁波であり、光学で知られるすべての経験法則(伝播、反射、屈折)が成り立つと考えて良い。
 以下の議論では考察する空間の広がり、線要素、面要素、体積要素とも光線の波長に比べて十分大きいとすることができるので回折現象は考慮しなくて良いであろう。
 また考察する時間間隔も、光線を特徴づける波長の振動数に比べて十分に長くとることかでき、位相の影響を考慮しなくて良いであろう。つまり、位相の影響から生じる”うなり”や干渉、共鳴などの複雑な現象を回避できると考える。

 空洞内部で平衡状態にある輻射を考える。空洞内部に任意の面積要素dσを考え、それを時間間隔dt内に立体角dΩの方向に通過する輻射のエネルギーを求める。ここで単位面積を単位時間に単位立体角の方向へ通過していく“輻射のエネルギー流”“K”とする。Kの事を今後“輝度”と呼ぶことにする。

 一般に K は場所と時間と方向に依存するが、ここでの議論では、Kはすべての方向について一様と見なして良いであろう。今後その様に仮定すると問題のエネルギー流

となる。
 Kは単位時間、単位面積、単位立体角に付いての値だから、時間幅dt、面積量cosθ・dσ、立体角dΩを乗じてある。今後の式表示に付いても同様に考えて下さい。

 ここで単色(νを中心とした単位の振動数幅に含まれる)で偏光面が片寄った単位立体角の方向へ単位時間に進行する輻射の“輝度” Rνを定義しよう。
 電磁波は横波だから、必ずある一つの偏光面に沿った振動で伝播する。そのとき輻射の強度は振幅(電場と磁場)Aの二乗に比例する。その振幅Aを二つの直線偏光成分に分け、それぞれの振動成分をAxνとAyνとすると、ピタゴラスの定理よりA2=Axν2+Axν2となる。だから光線は二つの偏光面で振動する波が混じったものであると考えることができる。その為、それぞれの振動面(AかまたはAyν)に対する輝度の和Rxν+Ryνは片寄らない振動Aに対する輝度Kνに等しいと考えて良い。
 ここでx、y方向の取り方は任意だからここでの議論ではRxν=Ryνと考えて良いので、それを改めてRνとおくことにすれば結局Kν=2Rνとおくことができる。つまり

が成り立つ。ここでν単色(振動数νを中心とした単位の振動数幅に含まれる)直線偏光した単位立体角の方向へ進行する輻射輝度を表す。
 このように偏光していない光線を偏光した光線によって表すと係数2が乗ぜられるが、それは電磁波が横波なので二つの偏りを持つことができることによる。実際偏光していない輻射線をニコルプリズムなどを通して直線偏光成分だけにすると、そのエネルギー強度は1/2倍になることが確かめられる。

直線偏光した輝度Rνを用いると前記の結論は

となる。

 数因子2を落とし直線偏光成分でしかも振動数ν〜ν+dνの単色成分での値にすると

となる。

補足説明1
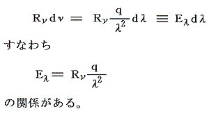
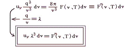
 これらの関係式は振動数νではなく波長λであらわすこともできる。
媒質中の光速度をq、波長をλとすると

となり、上記の関係式は以下のようになる。
 ここでλ直線偏光した波長がλを中心とした単位波長幅に含まれる輻射の輝度をあらわす。

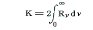
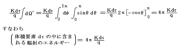
 ここで、面積要素dσを通って一方の側(例えばθ=0〜π/2の側)に進む輻射の総エネルギー流を求めておこう。これは前記の式のθを0〜π/2、方位角φを0〜2πまで積分すればよい。Kはすべての方向に対して一様だから積分記号の前に出せて

となる。同じく

の関係を用いると、直線偏光した単色(ν〜ν+dν)成分については

となる。

 

HOME  1.黒体  2.光の放射と吸収  3.キルヒホフの法則)()()()()()  4.参考文献  5.まとめ

(2)輻射のエネルギー密度( u と uν )

 ここでは、無限に広がった“熱力学的平衡”にある均質な媒質内の輻射の性質を考察する。その媒質内に仮想的な体積要素dτを考える。

 輻射エネルギーはある有限速度q(光速)で伝播するから、ある有限空間部分には有限量のエネルギーが存在する。
 媒質内の微小な体積要素dτを通過する輻射を考えることにより、輻射の単位体積当たりのエネルギー密度uを求める。
 そのために体積要素dτを囲む十分大きな半径rの球面を考える。(普通体積はvで表現されるが振動数νとの混同を避けるためにτを用いる)

球面上に取った面積要素dσを通り立体角dΩにdt時間に流れ出ていく輻射のエネルギーは体積要素dτが球の中心付近にあるために、前項の結論

において、常にθ=0とみなしてよく cosθ=1 とおいて

 このとき体積要素dτ中の円筒状体積素片fsに含まれるエネルギーは、輻射エネルギーの通過速度が光速qであることを考慮すると、上式のdtdt=s/qとすれば良いことが解る。ここで立体角 dΩ=f/r2 だから

となる。
 体積要素dτ全体については円筒状体積素片fsを加え合わせればよいので

となる。

 これはあくまで球面上のdσからの寄与であるので、球面全体からの寄与を足し合わせる必要がある。そのため中心点Oから見た面積要素dσの立体角をdΩ’として、これを全球面にわたって加え合わせればよい。そのとき上式のdσ/r2はまさしく、その立体角dΩ’であるから

である。一般的に K は方向(θ、φ)に依存するが、ここでは一様な輻射を考えているので dΩ’ に対する積分の外に出せて

となる。

 ここで単位体積当たりのエネルギー密度にするには、上記の値を体積dτで割ればよいので

となる。ただし q は媒質中の光速度である。この式に r は含まれないので、K は点Oに於ける輻射強度(輝度)と考えることができる
 次に、振動数ν〜ν+dνの間のエネルギー密度をもとめる。

のスペクトル分解を行い

の関係を用いて比較すれば、以下のようになる。

これらの式は輻射を取り扱う様々な場面で利用されるとても重要な結論です。

 

HOME  1.黒体  2.光の放射と吸収  3.キルヒホフの法則)()()()()()  4.参考文献  5.まとめ

 以下の(3)〜(5)節の考察が必要なのは、5.まとめB最後に述べた事柄に関係します。
 完全黒体輻射の分布を理論的に求めることができたとき、それを実際の完全黒体輻射である空洞輻射の観測値と比較・検討しなければなりません。
 その時、空洞輻射の空洞内は現実には真空では無くある屈折率を持ち輻射を吸収したり散乱する媒質である空気が占めています。その様に媒質物質が占めている空洞ですから、その事の影響に付いてしっかり検討しておかなければならない。
 更に、(5)3.[第二の結論]を得る為に必要な議論です。

(3)輻射の放射と吸収

 輻射は物体から放出され、物体に吸収される。物体が輻射を放出すれば物体の内部エネルギーは減少し、吸収すれば増大する。放射と吸収が釣合って物体の内部エネルギーが変わらないとき、物体と輻射が熱力学的平衡にあるという。ここで無限に広がった媒質内に、仮想的なある体積要素dτを考えて放射と吸収の関係をしらべてみる。(普通体積はvで表現されるが振動数νとの混同を避けるためにτを用いる)

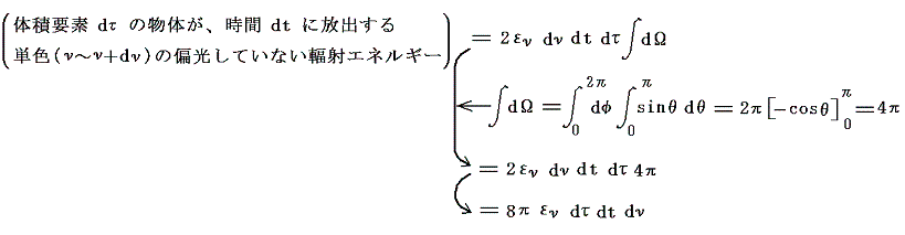
.物体の輻射係数( εν )

 体積要素dτの物体が、時間dtに、ある立体角dΩの方向に放出する、振動数がν〜ν+dνの間にある輻射のエネルギーは以下のように表される。

 ここで “εν は正の値をとるνの関数で“輻射係数”という(輻射能とは違う)。これは、単位体積の物体が単位立体角の方向に単位時間に放射する単色(νを中心とした単位の振動数幅に含まれる)直線偏光した輻射エネルギーに対応する。
 
 これと、2.章で定義した単位面積当たりについての“輻射能”との違いに注意。また、ここでは媒質を等方的と見なし、放出輻射線は偏光していないとしているので、上式では乗数2がかかったνを用いていることに注意。これは電磁波は横波なので偏光していない光線は二つのかたよりを持つことができることによる

 つぎに、これをあらゆる方向について和をとる。このとき、ενはどの方向に関しても、また物体のどの部分でも一様と考えているのでενはdΩの積分の外にだせる。そのため偏光していない輻射線に対して

となる。すべての振動数の輻射エネルギーにすると

となる。

 

.物体の吸収係数( αν )

 輻射線を吸収できるのは一定の体積を占める物質粒子のみであり面積要素ではないことに注意しなければならない。輻射線の吸収とは物質が輻射を吸収して他の形のエネルギー(熱や化学的エネルギー)に変える事である。
 物質の体積要素dτの中で吸収される輻射エネルギーを求める。ここで3.(2)で考えた半径rの球面とその中心に存在する体積要素dτをもう一度考える。ただしこのたびの体積要素dτは物質が占めている

 3.(2)での考察から解ったように、球面上の面積要素dσからdt時間にdΩの立体角を持って物質要素dτ中の体積素片fsに来る輻射のエネルギーは

であった。次に

を用いてスペクトル分解すると

であるから、単色(ν〜ν+dν)輻射線のエネルギー強度は

となる。これが物質中を距離sだけ進む間に

だけ吸収される。次で説明する様にανは単位距離当たりに付いてだから、上式は距離s倍にしてある。

 ここで “αν は振動数νの輻射が単位距離進む間に吸収される割合を表す“吸収係数”と言われるものである(2章で定義した“吸収能”とは違うことに注意)。ανは振動数や温度、物質の性質に依存する。一般には輻射の偏光状態にもよるが、ここでは均質で等方的な物質を考えているので、その依存性は考えない。
 
 物体がある振動数に対してαν=0であるとき物体はその色に対して完全に透明あるいは透熱であると言うことにする。真空はすべての振動数の輻射に対して完全に透明(等熱)である。
 
 ανもενも同じ係数という言葉で定義されているが、その物理的意味は全く異なることに注意。これは2章で導入した輻射能と吸収能が同じ能という言葉で定義されているが、その物理的意味が異なったのと同様です。

 ここで円筒状の体積素片fsを体積要素dτにわたってすべて加え合わせる。それをさらに半径rの位置の面積要素dσを全球面にわたって加え合わせると、dt時間に体積要素dτの物体の中で吸収される輻射エネルギーを求めることができる。

すべての振動数について積分すると

となる。

 

.熱力学的平衡

 物体と輻射の間に熱的平衡が実現していれば、体積要素dτについて前項1.と2.で求めた[放出される量]と[吸収される量]が等しくなければならないので

となる。
 “熱力学的平衡”において放出エネルギーと吸収エネルギーが等しいことは、全スペクトルにわたる全放射に対してばかりでなく、スペクトル分解された単色放射に対しても成り立たなければならない。
 なぜなら、εν、αν、Rνは体積要素dτ中の場所によらないと仮定しているから、一つの色について吸収と放出のエネルギーが釣り合わなかったら、媒質全体の至る所で問題の色のエネルギー放射が他の色の放射の犠牲のもとに絶え間なく増減を繰り返すことになり、Rνが時間に対して不変である(熱力学的平衡にある)という条件を満たせなくなるからである。

 こうして各振動数の輻射に対して

が成り立つ。すなわち、“熱力学的平衡”にある物質内の、一定の振動数の輻射の輝度Rνは、この振動数に対する物質の輻射係数εν吸収係数ανで割ったものに等しい

 これは輻射に関係した重要な結論です。この式を解釈するとき、ανενは同じ係数という言葉で定義されているが、その物理的意味が全く異ったものであることに注意すべきである。この法則は、それらの量がこのような性質を持つように定義されているのだと述べているに過ぎない。

 ある媒質についてενανが定まっていれば、これらは温度T振動数νに関係するだけである。そのように考えられる事が熱力学的平衡にあるということであり、熱力学第二法則が保証するところである。そのとき、上記の関係式により、熱力学的平衡にある定まった媒質内で定まった色(振動数ν)の輻射強度(輝度Rνは温度によって完全に決定される
 
 ただしこのとき、次のことに注意しなければならない。その媒質がαν=0の場合(真空がそうである)、Rνは無限大であることは無いので、εν=0と成らなければならない。(このことに付いては、2章最後の[補足説明1]で説明した完全反射物体の考察も参照されたし。)
 その場合、上記の結論はRν=0/0を意味して、Rνは任意の値を取ることができる。つまり、真空内の輻射に関しては、この式から輻射の強さを決めることができないのである。その場合どうすればよいかを3.(5)(6)で論じるが、その前に次の(4)で媒質内の散乱の効果について考察しておく。

 

HOME  1.黒体  2.光の放射と吸収  3.キルヒホフの法則)()()()()()  4.参考文献  5.まとめ

(4)“熱力学的平衡”にある均一媒質内の輻射の散乱効果

 ここでも、無限に広がった“熱力学的平衡”にある均質な媒質内の輻射の性質を考察する。

.輻射の入射エネルギー

 ここでは体積要素ではなくて、ある一つの輻射線ビームに着目する。そのビームとは、点Oにありビーム軸に垂直な微少面積要素dσと、開口角dΩによって特徴づけられる。輻射はその領域内を、焦点面dσに向かって矢印の方向に進むものとする。

この時、3.(1)と同様の考察から、時間dtに、面積dσを通過する直線偏光した単色(ν〜ν+dν)の輻射のエネルギーは

であらわされる。このRνは面積要素dσの位置における値であるが、もともとすべての位置で一様としている。

 ここで、O点から距離r0〜r0+dr0、立体角dΩの体積要素dτから、O点にある面積要素dσに向けて放射するエネルギーは、3.(3)1.と同様の考察から、

となる。ενは単位体積、単位立体角、単位時間当たり通過する輻射エネルギーだから、体積dτ、立体角dΩ’、時間間隔dtが乗じてあることに注意。

 ここで数因子2を落とした

によって “E” を定義する。
  “E” はO点から距離r0〜r0+dr0、立体角dΩの体積要素dτ=r02dΩdrがO点の面積素片dσに向けて単位時間に放射する直線偏光した“放射エネルギー”を意味する。

 ただし、Eのすべてがdσに到達するわけではない。Eの一部は途中の媒質により吸収・散乱される。このとき、輻射が単位の距離だけ進む間に吸収される割合は吸収係数ανですでに定義している。

 ここではさらに、輻射が単位距離だけ進む間に散乱されて今考えている輻射ビームから外れてしまう割合を表す“散乱係数” βνを定義する。
 
 βν、αν、ενはいずれも同じ係数という言葉で定義されているが、その物理的意味の違いに注意。βνはενとは異なり、ανと同じような意味を持つ量である。

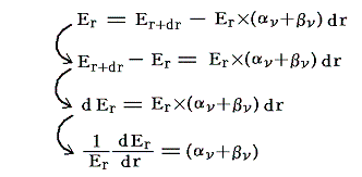
 これら二つの係数は振動数や温度に関係するかもしれないが、媒質の位置には依存しないと仮定する。
 この二つの係数を用いると、輻射が距離sを通過する間に吸収散乱のために減少するエネルギーの割合は(αν+βν)sとなる。そのために、上記のEの中でO点からの距離がrの断面に達する輻射のエネルギーをEとすれば、距離r+drから距離rまでのdr進む間にEr+drはErν+βν)drだけ減少する。そのため

という微分方程式が得られる。これを積分した解は

となるが、r=r0 で Er=E=ενdνdr0dΩdσ だから

となり、以下の解が得られる。

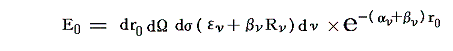
この式の r に r=0 を代入すると、Eの中でO点に到達する部分E0が得られて、

となる。

 点Oの面積要素dσに到達する輻射は、r0〜r0+dr0からのみではなくてr0=0〜∞のすべての領域から放射されるものが寄与する。それは、r0について0から∞まで積分したものになる。結局、O点にある面積要素dσに立体角dΩの部分から到達する輻射の全エネルギーは単位時間当たり

となる。

 

.散乱の効果

ここで、熱力学的平衡における散乱過程についてもう少し考察を進める。
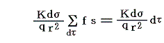
 体積要素dτに当たった輻射線は、そのエネルギーの一部が他の方向へ曲げられる事によって、もとの方向の強度が弱められる。体積要素dτからdt時間に散乱によって空間のあらゆる方向に与えられるエネルギー放射量は、前節で定義した散乱係数βν(輻射が単位距離だけ進む間に散乱される割合)を用いれば、次のようにして求めることができる。
 あらゆる方向から体積要素dτに入射してくる輻射線に散乱係数を乗じたものが、その体積要素dτから周囲に放射される散乱の輻射エネルギーであるから、3.(3)2.のエネルギー輻射の計算と全く同様の方法を用いればよい。そこでの輻射係数ανを散乱係数βνに変えればよく

が得られる。ここでも仮想球面の半径rは消えてしまうので、Rνはdτの位置に於けるある一方向へ進む直線偏光した単色の輻射線の輝度と考えればよい。輻射線の等方性を仮定しているので、どれか一つの方向の輝度を用いればよいのである。
 媒質の等方性のために、体積要素dτで散乱されそこから四方へ出て行くエネルギー輻射は入射する輻射と同様に、すべての方向に一様になる。そのため、体積要素dτによって受け取られ散乱されるエネルギーの内で開口角dΩの方向に放射される量は、上記の値にdΩ/4πを掛ければよい。つまり

で与えられる。直線偏光した単色光については

で与えられる。

 この時次のことに注意して欲しい。電磁気学の電波や光波の散乱の項目で習うように、直線偏光した個々の光線は方的な媒質中でも方向によって異なった強度と偏光を持って散乱される(証明は省略)。しかしながら、ここで仮定しているように、すべての方向へ偏光している一様な放射が体積要素dτに入射する場合は、体積要素dτに当たって散乱された散乱線全体としてはすべての方向に偏光した光線を含む一様な散乱と考えて良い。そのため単一散乱で生じる特異性は表れてはこない。

 

.散乱の効果を入れた媒質内の輻射線

 輻射に散乱の効果が無い(βν=0)ときには、面積要素dσ到達する全エネルギーは、途中の吸収によって起こる損失を考慮した、個々の空間要素から放出される輻射線ビームのエネルギー量から成るはずである。
 それは3.(4)1.の最後に求めた

においてβν=0とおき、3.(3)3.で求めた

を代入すれば、それは3.(4)1.の最初に求めた

のdt=1としたものと全く同じになることから容易に確かめられる。

 しかし、一般に、散乱の効果がある場合には

となる。それは面積要素dσに到達するエネルギーには、問題にしている輻射線ビームから来るもの以外に、どこか別の所から放出された輻射が輻射線ビームの体積要素に入り込んだ後に面積要素dσの方向に散乱されて輻射線ビームの経路中をやってくる輻射線も含むからである。
 輻射線ビーム内の空間要素は、そのビーム内部を通る輻射線を外部に散乱するばかりでなく、外からくる輻射線をそのビーム内に集めもする。ビームの点Oから距離r0〜r0+dr0、立体角dΩの空間要素に、このようにして集められる輻射E’は3.(4)2.で求めた

の式で dt=1、 dτ=dr0・dΩ・r02、 dΩ=dΩ'=dσ/r02 とおけば

のように得られる。このエネルギーが3.(4)1.で計算された同じ空間要素から放出されたエネルギーEに付け加わるので、輻射線ビームの点Oから距離r0〜r0+dr0、立体角dΩの空間要素からの面積要素dσへの全放射エネルギーは

となる。
 このうちO点に到達するエネルギーは3.(4)1.と同様な微分方程式の積分解であるから、そこでもとめた解

のEを上記のE+E’で置き換えた

となる。この輻射線ビームのすべての空間要素r0=0〜∞について積分すれば、空間要素が散乱の収集をする効果と、途中の吸収と散乱による損失の効果を考慮した、単位時間に面要素dσに到達するエネルギーを与える。

これは3.(3)3.で求めた

を考慮すると、3.(4)1.で最初に求めた式でdt=1とした

に正確に等しい。

 以上の考察から明らかに成ったことは、媒質内で輻射の熱力学的平衡が成立している場合、散乱過程は全体として何の効果も起こさないということです。
 すべての方向からある体積要素に入射し、再びすべての方向に散乱される輻射線は、その体積要素から何ら変更を受けずにそこを真っ直ぐに通過するかのように振る舞う。つまり、ある一つの輻射線は、散乱によって失なうエネルギーを他の輻射線の散乱によって再び獲得する。

 

HOME  1.黒体  2.光の放射と吸収  3.キルヒホフの法則)()()()()()  4.参考文献  5.まとめ

(5)“熱力学的平衡”にある媒質内の輻射

.媒質の性質

 二つの媒質の境界、あるいは媒質そのものの性質を幾つか定義する。
 二つの媒質の境界面に一方の媒質からの輻射が入射するとき、一般に一部は反射され、一部は透過する。そのとき光線が「反射の法則」と「スネルの屈折の法則」に従う方向に進む場合と、様々な方向へランダムに反射・屈折する場合がある。前者の場合を“滑らかな境界面”と言い、後者の場合を“粗い境界面”と言う。
 特に粗い境界面がすべての入射線を完全に反射し、しかもすべての方向一様に反射する場合を“白い面”と言う。この反対に入射線を完全に透過する場合を“黒い面”と言う。そのとき、相接している両媒質が光学的に異なるとき滑らかな面では必ず反射が生じる。光学で習うように別稿「波の反射と屈折率」の(7)式の n01 と n02 が異なると反射が生じるので滑らかな境界面は黒くなることはできない。黒い面は必ず粗い面である。

 黒い面の他に黒い物体を定義する。“黒い物体”とは、これに入射するすべての輻射線を反射することなくすべてその物体内に取り入れて再び外へ出さないものの事である。
 このとき当然のことであるが、“黒い物体”は“黒い表面”を持つ。またそのとき、黒い物体に入射した光線が黒い物体の他の何れかの表面から再び外に出ることがないよう、その物体内で完全に吸収されなければならない。そのため、黒い物体は、ある厚さを持たなければならない
 光学で良く知られているように、粗い面といえども波長が長くなると一般に粗く無くなる(証明は省略するが、要するに反射光の位相がそろいやすくなり反射が存在するようになる)。粗い状態で無くなると黒くなれない。そため一般に黒い物体と考えられている煤を塗った面や白金黒なども十分長い波長の輻射線に対しては反射が生じ黒体の条件を満たさなくなる。
 すなわち“完全な黒体”は現実には存在しない。そのため絶対的に黒い面をもつ黒体を実現する実用的な方法として次に述べるような“空洞”が利用される。

 多少とも強く放射する壁によって囲まれた真空の空洞を作り、その壁を指定された一定温度Tに保つ。その空洞の壁に小さな面積dσの穴を開け、その穴を通じて外の真空の空間と連結する。内部からその穴に向かう輻射の強さが、その穴のために変化を受けない程度に穴の大きさを小さくすれば、その穴dσは温度Tの黒体の表面と同様な性質を持つ。
 真空はすべての振動数に対して吸収係数αν=0で完全に透明あるいは透熱であるからdσの穴の位置で反射が起こることはない。そのめた、その穴は外からの輻射線をすべて吸収する“黒い面”となり空洞内部は“黒い物体”となる。その故に、その穴から漏れ出てくる輻射線は温度Tの“黒体”が放射する輻射線となる。これがいわゆる“空洞輻射”と言われるものである。
 つまり、黒体の輻射とは、ある有限の放射係数ενと吸収係数ανを持つ物体に囲まれた真空の空洞内の輻射だと見なすことができる。

 次の節3.(6)で真空を完全に透明あるいは等熱なある種の媒質として取り扱って、周囲の媒質と熱力学的な平衡にある真空内の輻射が満たすべき性質を求める。つまり、種々の輻射係数εν吸収係数ανを持った多くの媒質が互いに接触して存在しており、その中に真空の空洞(εν=αν=0)が含まれているとするのである。
 真空については物体熱やその温度を考えることはできないが、その真空の空洞の部分は輻射係数εν=0、吸収係数αν=0のある種の媒質と見なすことができる。そして真空内に輻射のエネルギー密度uと振動数νに依存した輝度Rνの分布を考えることができる。

 

.“熱力学的平衡状態”にある媒質内の輻射が満たす性質

 種々の媒質の集合体に対して次の性質が成り立つ。熱力学第二法則より、熱力学的平衡にある場合、自然に温度差が生じたり、エネルギーの一方向への流れが生じたりしては成らない。そのため

 様々な媒質の集合体が温度Tの熱力学的平衡にあるときには、媒質間の熱の移動は無く、あらゆる媒質中のどの場所でも任意の輻射線束にはそれと逆方向で同じ強さを持つ輻射線束が存在する

 これは媒質の表面から出て内部に向かう輻射線に注目すると、それは、それと正反対に内部から来る輻射線と同じ強度を持たなければならない事を意味する。そのことから直ちに次の結論が導かれる。

媒質のごく表面付近における輻射状態は、内部に於けるのと同じ輻射状態である。

 その様な熱力学的平衡状態にある無限に広がっている媒質の集合体に対しては、媒質の境界面を完全に熱を通さない面で置き換えても平衡は乱される事はない。これによって、上記媒質の集合体は任意個の完全に閉じた部分に分けられる。ここでわざわざ完全に熱を通さない境界面で各媒質が囲まれているとするのは、真空が熱伝導を考えることができない媒質なのでそれを特別視しない為であって、それ以上の意味はない
 
 そのとき、各媒質中の 輝度Rν は、3.(3)3.で求めたように、その媒質の 放射係数εν吸収係数αν によって与えられる値を持つと考えることができる。

 

.二つの媒質中の輻射の関係

 最初に一つの境界面で接している二つの媒質の間に“熱力学的平衡”が成立しているときの輻射の性質を考える。その境界面は滑らかで「反射の法則」「スネルの屈折の法則」を満すとする。
 今下図の様に境界面の面積要素dσから面の法線に対して角度θの方向の立体角dΩの方向へ進む輻射線ビーム(1)を考える。これは3.(1)で述べたように次式で表される。

 前項2.で述べたように、“熱力学的平衡”においてはそれと逆方向で同じ強さの輻射線ビームが存在する。これを境界面の垂線で折り返せば、(2)の方向から面積要素dσに向かう輻射線ビームと同じになる。つまりdσから(1)の方向へ向かう輻射線ビームの強度と(2)の方向からdσに向かう輻射線ビームの強度は同じと考えて良い。

境界面は滑らかと考えているので“面積要素”dσから(1)の方向へ向かう輻射線は次の二つの要素の和であると考えることができる。

  1. 媒質1の(2)の方向から来る輻射線が面積要素dσで反射して(1)の方向へ進むもの。その際境界面で入射光線の一部が反射し一部は媒質2へ透過する。そのため入射エネルギーに対する反射される輻射エネルギーの割合を“反射係数”ρで表すと、(2)の入射輻射線の中で(1)の方向へ反射される輻射エネルギーは

    となる。ここでρは入射輻射線の入射角θ・振動数ν・偏光の関数である。さらに媒質1と2の光学的性質にも依存する
  2. 媒質2の(3)の方向から面積要素dσに入射して媒質1の(1)の方向へ屈折するもの。これは境界面での“反射係数”をρ’とするとdσを透過して(1)の方向へ進む輻射は

    となる。ここで媒質2に関係する量にはダッシュ’を付けることにする。このときdt、dσ、ν、dνはどちらの媒質でも同じ値を持つのでダッシュをつけない。特にνは媒質を跨いで共通であることに注意。

 平衡状態では、(1)の方向の輻射線のエネルギーは上記図の媒質1.の(2)と媒質2.の(3)の方向から来る輻射線の和になるから

となる。
 ここで媒質1、2に於ける光速をq、q’とすると、屈折の法則から

が言えて、下図の関係が成り立つ。

この図から次式が成り立つ。もちろん三角関数の加法定理と、sin(dθ)≒dθ、cos(dθ)≒1、等々・・・の近似を用いても良い。

これらの関係を用いて前記の式を変形すると

が得られる。
 最後の式において、“熱力学的平衡”時には左辺の量は、入射角θ、φ、偏光状態に依存しない。従って右辺の量もθ、φ、偏光状態によらないはずである。したがって、その値をある一つの入射角、と偏光状態について知ることができれば、その値はすべての入射角と偏光状態に対して成り立つことになる
 その特別な場合として輻射線の振動が入射面内に限定された偏光状態の光が、偏光角(ブルースター角)で境界面に入射する場合を考える。

 光学で習うように“偏光角”(ブルースター角)θB とは 反射光線 と 屈折光線 が直角を成すときの入射角のことであり、そのとき媒質1、2の屈折率をn1、n2、光速度をq1、q2とすると tanθB=n2/n1=q1/q2 の関係が成り立つ(証明は簡単)。
 下左図が前記1.の(2)の方向からのブルースター角入射を表しているとする。
 下左図の入射光線と屈折光線を境界面に垂直な面で左右を反転させると前記2.の(3)の方向から入射する光線の経路になる(下右図)。そのとき媒質2から媒質1へ侵入する屈折光線は下左図の反射光線の方向(1)と一致し、媒質2へ反射されて戻る光線の方向は下左図の屈折光線の方向と一致することがわかる。そのため下右図もブルースター角で入射していることになる。
 つまり、(2)の方向から入射して(1)の方向へ反射する光線がブルースターの角度なら、同じ(1)の方向へ屈折光線が進む入射光線(3)もブルースター角で入射している

 光学で習うように、ブルースター角で入射した場合、光線中の振動面が入射面(上図が描かれている面) に平行な偏光成分はすべて媒質2に透過して反射光は存在しない。一方振動面が入射面に垂直な偏光成分は一部が媒質1へ反射し一部が媒質2へ透過して、反射光と屈折光の両方が生じる。(証明は省略)。

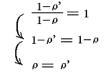
 振動面が入射面内(上図が描かれている面内) に偏光している輻射線をブルースター角で入射させると、前記図の媒質1.の(2)方向の場合も媒質2.の(3)の方向の場合も反射光線は無くなり、ρ=ρ’=0となる。その場合には(2)の方向から来る輻射線はすべて媒質2へ透過してしまうので、(1)の方向の輻射線は、すべて(3)の方向(媒質2)から来る光線の屈折光のみから成ることになる。そのとき最後の式の右辺は1に等しくなる。
 すでに述べた理由により右辺の値はθ、φ、偏光状態によらないので、上記以外の任意の入射角、偏光状態でも常に1に成ると言って良い。右辺が常に1に成ると言うこと、つまり

が、θ、φ、偏光状態によらず成り立つと言うことであり、ともりなおさず次に述べる二つの関係式が成り立つことを示している。

第一の結論
 一般にρやρ’はθ、θ’や偏光状態が変われば異なった値を取る。しかしその場合もθとθ’が入射角と屈折角の関係を満たしながら同一の偏光状態で変化する場合は、常に

が言える。この式は定まった色(振動数ν)、ならびに定まった偏光状態の輻射線が媒質1から2へ入射するとき反射によって受ける強度の減少は、同じ経路をその逆方向(媒質2から媒質1へ)に入射するとき反射によって受ける強度の減少に等しい事を言っている。
 これは、光学で習う「ある一つの光線が、任意の媒質を通る経路の上で、反射・屈折・吸収・散乱のために受ける減衰の度合いは、光線がその経路をいずれの向きに通るかということには無関係である。」というヘルムホルツの相反定理の特別な場合にすぎない。
 ただし、次の事柄に注意すべきである。反射率ρは媒質1と2の両方の性質で決まるものだから、同じ媒質でも接する外部の媒質が異なれば異なった値を取る。つまり

第二の結論
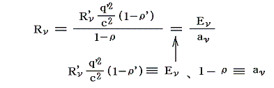
 両媒質中での輻射強度は

の関係を満足する。これは二つの媒質中の単色(振動数ν)の輻射輝度は、各媒質の光速の2乗に逆比例、あるいは屈折率の2乗に正比例することを示している。
 
 つまり、各媒質中の 2ν はあらゆる媒質で同じになるのだから

と置けて、温度Tで“熱力学的平衡状態”にある媒質中では“輻射輝度”Rνに関して温度Tと振動数νの普遍的な関数が存在すると言っている。
 
 このとき、3.(3)3.で求めた

の関係式を用いると、上式は以下のように記述できる。

つまり、各媒質中の 2εν/αν もあらゆる媒質で同じになり、温度Tと振動数νの普遍的な関数になると言っている。
 
 ここで3.(2)で求めた

を用いれば上式は

となり、“熱力学的平衡”の際には ν3 なる量もすべての媒質中で温度Tと振動数νの普遍関数となる。
 
 またνは媒質が変化しても一定に保たれるので上式の両辺をν3で割ると

となり、νλ3dν なる量もすべての媒質において共通な温度Tと振動数νの普遍関数になる。

 両媒質の境界面が粗い場合には、境界面のある要素dσによって媒質1の内部に向けられる輻射線ビームが滑らかな場合の2つの輻射線ビームから成るのではなくて、両媒質から境界面に当たる任意の多くのビームから成る。この場合にも熱力学的平衡時には両媒質に於ける輻射の輝度RνとRν’の値はあらゆる方向に於いて同じ値を保つ。そのとき粗い境界面に於いても成り立つヘルムホルツの相反定理により、上記の事情がこの場合にも成り立つことが言える。

 

HOME  1.黒体  2.光の放射と吸収  3.キルヒホフの法則)()()()()()  4.参考文献  5.まとめ

(6)キルヒホフの法則

.真空空洞中の輻射

 前節(5)の結論を真空に適応すればキルヒホフの法則が得られる。すでに3.(3)3.で注意したように真空はεν=0、αν=0であるため、そこでの結論Rν=εν/ανを用いてRνを決めることはできない。このような媒質(真空もある種の媒質)についても熱力学的平衡に於いては各温度に対して確定した輻射状態が存在することは次の考察によって示される。

 真空の空洞の周りを任意の物質で作った種々の固定壁で囲み、壁は内からも外からも熱輻射線が透過しない程厚いものとし、且つ定まった一様な温度に保つものとする。そうすればその温度によって定まる壁の放出・吸収のために真空空洞中に確定した定常輻射状態が生ずる。前節3.(5)3.[第二の結論]の考察で示されたように、この輻射状態の“輻射輝度”Rνは、そこでの結論のqを真空中での光速cで置き換えてF(ν、T)/c2を改めて一つの普遍関数と見なせば良い。この関数は周囲の壁の性質には無関係である。

 この結論は、真空空洞中の輻射状態を計算する手段を与えるばかりでなく、真空空洞中の輻射が壁の物質に関係しないためには、任意の壁に於ける放射と吸収の間にどのような関係が成り立たねばならないかを求めるのに用いることができる。

 

.キルヒホフの法則

 熱力学的平衡に達したとき、真空空洞内部から壁(滑らかとする)の面積要素dσに、面の法線に対してθなる角をなす立体角dΩ内へdtの間に入射する振動数ν〜ν+dνの偏らない輻射のエネルギーは3.(1)で述べたように

となる。熱力学的平衡のときには、これに等しいエネルギーが壁から真空空洞内の逆の方向へ輻射される。
 このとき、[壁から真空空洞中へ輻射されるエネルギー][dσを通過して壁の媒質から放射されるエネルギー]と、[dσによって反射される真空空洞内からの輻射エネルギー]となる。

 そのうちの[壁の内部から真空空洞内へ輻射されるエネルギー

の形を持つはずである。ここでνは壁を作る物質表面“輻射能”と言われるものである(輻射係数ενと混同しないこと)。これは一般に方向θ、振動数νに依存するが、媒質ごとに定まったある値を取る。
 一方[空洞内からの輻射が反射されて生じる輻射線のエネルギー]は、面の法線に対してそれに対象の位置にあってdσに投射する輻射線にその方向の壁の反射係数ρを乗じたものである。それは、熱力学的平衡状態においては、単に前記(A)の値にρを乗じたものに等しいので

となる。この場合のρも一般に方向θ、振動数νに依存する媒質ごとに定まったある値を取る。

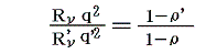
 (A)=(B)+(C)と置けば

となる。ここで

と置き、ν物体壁“吸収能”を定義する(吸収係数ανと混同しないこと)。aνは一般に入射角θや振動数νに依存するが、入射する輻射エネルギーが壁に侵入する割合を表す。

 そうすると

となる。壁が異なるとEνやaνは当然異なる値となるが、その比は常にRνに等しい。Rν3.(6)1.で述べたように周囲の物体の性質によらないので、任意の物体“輻射能”Eν“吸収能”aνの比はその物体の性質によらない。そして、その値は壁と熱力学的平衡にある真空中“輻射輝度”Rνに一致する
 これは1860年にキルヒホフにより証明されたので「キルヒホフの法則」と呼ばれる。

 この結論は、3.(5)3.で求めた

のqを真空中の光速度cに置き換え、そこでの結論[q’2ν’が媒質によらない][ρ’(真空に対する反射係数)は媒質が定まれば決まる]を用いることによっても得られる。そのときEνとaνを下記の様に定義すれば、

となることからも明らかである。

 

.黒体の輻射

「キルヒホフの法則」は次の重要な事柄も含んでいる。

(1)
 繰り返し注意したように真空の吸収係数はαν=0のために真空中の輻射輝度Rνを決めることはできなかったが、真空空洞と熱力学的平衡にある周囲の壁の媒質を通じて真空空洞中の輻射輝度を決定することができる。つまり上記の関係式中のRνの値がαν=0のときの真の値である。
 
(2)
 さらに、この時Rνは温度Tにのみに依存するνのある普遍関数だから、その普遍関数の輻射が存在する事をもって真空の温度Tを定めることができる。真空には物体が存在しないのでもともと温度なる量を考えることができなかったが、熱力学的平衡にある周囲の物体の温度によって真空の“温度”Tを定義すればよいのである。
 
(3)
 さらに、壁が黒体のとき、aν=1だから、黒体の“輻射能”Eνは、上式のaνを1とすればまさしく上記の温度Tの壁と熱力学的平衡にある真空空洞内の“輻射輝度”Rνに一致する。現実には完全な黒体物質は存在しないが、すでに述べたように真空空洞を囲む壁に開けた小さな穴から漏れ出てくる輻射こそ黒体の輻射である。現実の空洞の壁は黒体ではなく、壁が放射する輻射線は黒体の放射に比べて強度の点で不足しているかもしれないが、それは壁に当たってはね返される輻射線によって補われ、空洞の内壁はあたかも温度Tの黒体であるかのように振る舞う。黒体の輻射能は同じ温度の他のいかなる物体の輻射能よりも大きく最大値を与える。そして“黒体が何でできているかには関係なく、黒体(空洞輻射)の輻射能は温度と波長だけで決まる”のである。

 

.補足

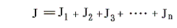
 上記の結論を、熱を通さない境界で分けられたn個の互いに隣り合った物体系に拡張する事ができる。n個の媒質中の任意の二つの媒質の境界面上の面積要素dσを考える。dσから第1媒質へ向かって立体角dΩに進むビームによって単位時間に与えられるエネルギーは

で与えられる。この輻射エネルギー I は境界面が滑らか、粗いにかかわらず、第1媒質から来る反射光と第二媒質からくる透過光からなる。ここで輻射 I を n個の媒質 から放射される個々の部分に区分しよう。
 ここで次の事柄に注意すべきである。第2媒質から境界面を通って考えているビームに入ってきた輻射線は、必ずしもすべて第2媒質中で放出されたものではなく、さまざまな媒質を通り長く複雑な経路を通ってきたものかもしれない。その過程で屈折・反射・散乱・吸収の影響を受けたものである。同様に第1媒質から来てdσで反射されたビームもすべてが第1媒質中で放出された物ではない。
 これらのすべての可能性を考慮して、 I の内、第1媒質の体積要素から放出された部分を、その成分がどんな経路を取ってきたかに関係なく I1 で表す。同様に第2媒質、第3媒質・・・から放出されたものを I2、I3、・・・・ と表すと

と記述する事ができる。

 輻射 I1、I2、I3、・・・、In の起源と軌道を知るためには、その光学的経路を逆の方向に辿ればよい。つまりビーム I と正反対の方向に向かい、立体角dΩ 内の第1媒質から来て境界面の 面積要素dσ に当たる輻射線ビームのその後の成りゆきを調べるのである。そのビームを J とすると当然 I=J であるが、ビームJ の輻射線は境界面dσで一部は規則的反射あるいは乱反射し一部は透過する。続いてそれぞれの媒質で一部は吸収され一部は散乱され再び次の境界面で反射されるか、他の媒質へ透過する。以下同様な過程を繰り返して、結局は 全ビームJ は多くの別々の輻射線に分かれてからn個 の媒質に於いて完全に吸収されるであろう。
 J のうち、最後に第1媒質で吸収される部分を J1 、第2媒質で吸収される部分を J2 、・・・・ と書くと

となる。
 ここで、 ビームJ の輻射線の吸収が起こる n個 の媒質の体積要素は、はじめに考えたビーム I の成分になる輻射線の放出が起こる体積要素と全く同じである。なぜなら“ヘルムホルツの相反定理”により、ビーム I に入る輻射を与えないような体積要素には、ビーム J からの輻射は入らないし、その逆に ビーム J からの輻射を入れない体積要素からの輻射は I に入らないからである。
 “ヘルムホルツの相反定理”より、輻射線がある経路を通るときに受けるエネルギーの減少は、輻射線がその逆の経路を通るときに受けるエネルギーの減少に等しい。この事実に3.(3)3.で求めた εν=Rναν を用いると、任意の体積要素は放出によってビーム I のエネルギーに寄与するのとちょうど同じ割合で、逆のビーム J の輻射線を吸収する。そのとき、すべての体積要素によって供給されるエネルギー総量 I は、すべての体積要素によって吸収されるエネルギー総量 J に等しいから、 ビームJ から個々の要素によって吸収されるエネルギー量は ビーム I に同じ要素から放出されるエネルギー量に等しいはずである。したがって、ある媒質中の一定体積から放射される輻射線ビームIの部分は、同じ体積で吸収される反対方向を向いた 輻射線ビームJ(=I) の部分に等しい。つまり

がいえる。

 ここで I2 、すなわち第2媒質から第1媒質へ放射される輻射線ビームの強度を第2媒質の輻射能 E と呼ぼう。それに対して J に対する J2 の比、すなわち第2媒質に入る輻射線ビームのうちでそこで吸収される割合を媒質2の吸収能 a と呼ぶ。従って

となる。
 E および a は、両媒質の性質、温度T、輻射の振動数ν・偏光状態、境界面の性質、面要素dσ、開口角dΩ、入射角θ、両媒質の表面全体の形と大きさ、さらにその系内の他のすべての物体の形と性質に依存する。それは第2媒質で放射された輻射線ビームが一旦第1媒質以外の媒質中に入った後再び第2媒質に帰りそれを通過して第1媒質の注目している輻射線ビームとなる場合もあるからである。
 これらの仮定のもとで、式を変形していくと

となる。
 このとき、第1媒質中を進む輻射線ビームの強度 I は、 Rν=εν/αν により第1媒質の性質に依存するが第2媒質の性質には全く依存しない。すなわち、ある物体の吸収能に対する輻射能の比はその物体の性質に依存しない(キルヒホフの法則)
 特に第2媒質が黒体のとき、そこに入射した輻射をすべて吸収するから J2=J 、 a=1 となり E= I である。すなわち、黒体の輻射能はその性質に依存しない。それは同じ温度の他のいかなる物体の輻射能よりも大きく、隣接媒質内の輻射の強度に等しい

 

HOME  1.黒体  2.光の放射と吸収  3.キルヒホフの法則)()()()()()  .参考文献  5.まとめ

4.参考文献

 以下の文献を参考にしたのですが、何となくしっくりこないところもある。しかし、この結論が引き続く様々な議論で確認されていることから、この証明で良いのだろう。

  1. マックス・ブランク著 物理科学の古典7 「熱輻射論」 東海大学出版会(1975年)第1部第1章、第2章(p1〜42)
     原本はMax Planck 「Vorlesungen u¨ber die Theorie der Wa¨rmestrahlung」(初版1906年〜第5版1923年)
  2. マックス・プランク著 理論物理学汎論第5巻 「理論熱学」 裳華房(1932年)第V編第1章、第2章(p208〜238)
     原本はMax Planck Einfu¨hrung in die Theoretishe Physik X 「Einhu¨hrung in die Theorie der Warme」(初版1930年)
  3. 芝亀吉著 岩波全書 「熱力学」 岩波書店(1950年)の第11章輻射(p176〜186)
     これは文献1、2の内容を引用したものだが、文章表現が回りくどく、必ずしも文献1、2より解りやすいとは言えない。
  4. アーノルド・ゾンマーフェルト著「理論物理学講座X 熱力学およひ統計力学」講談社(1969年刊)第U章§20.“空洞輻射A.Kirchhoffの法則”(p143〜)
     ここで、「空洞内の輻射のエネルギー密度uが空洞の性質に無関係なνとTの関数である」事を以下のように説明している。
     [壁の性質が異なる二つの空洞AとBを考える。そのとき、あるスペクトル領域(ν〜ν+dν)でAのuがBのそれより大きかったとする。いま振動数νの光だけ通す光フィルターがはめ込まれた小さな窓でAとBを結びつける。すると、AからBへ流れる熱の方がBからAへ流れるものより多くなる。熱平衡はこれによって乱される。Bは温められ、Aは冷やされ両方のuの差がなくなるまで続くであろう。そしてひとりでに(仕事をされること無しに)温度差がつくられたことになる。これは熱力学第二法則に反する。したがってuはνとTの普遍的な関数でなければならない。
     uがそうなら、

    からuνもそうであり、本文中で求めたよう

    であるから、RνもνとTの普遍的な関数でなければならない。]

     多くの教科書ではこのレベルの証明ですましているので、この程度の理解で良いのかも知れない。

 

HOME  1.黒体  2.光の放射と吸収  3.キルヒホフの法則)()()()()()  4.参考文献  .まとめ

5.まとめ(追記)

 キルヒホッフの法則は熱輻射論の出発点として重要なのですが、その意味するところを理解するのは極めて難しい。
E.シュポルスキー著「原子物理学T(増訂新版)」東京図書(1969年刊)の§81〜§82(p251〜254)がその的確なまとめになっているので以下に引用しておきます。実際、これはシュポルスキーがPlanckの著書のまとめとして書いているものです。
 上に展開した本文を読まれるときに注意すべき事は、その中に混在している以下の 【A.物理量の定義とその数学的な関係】を説明する部分 と 【B.キルヒホッフの法則】の部分 をハッキリ区別して理解することです。

.空洞における平衡状態にある輻射(物理量とその数学的な関係)(§81)



 ここの I は、3.(1)で説明した“輝度”Kに相当します。係数が半球の立体角2πではなくてπになることに注意。それはcosθを乗じたものを積分するからです。また、Φは別項「シュテファン・ボルツマンの法則」中でSと表しているものです。

 *)上記の(81.3)式は3.(2)で証明しました。このとき係数の4π/cに注意

 本稿では3.(2)で説明した様に、ρνをuνと書いています。

 上記のことは、3.(1)で説明した。係数の8π/cに注意。

 

.キルヒホッフの法則(§82)


 上記の部分の証明は簡単なのですが、ここは物体と熱力学的平衡にある輻射のエネルギー密度のスペクトル分布の仕方(つまり振動数への依存性)が温度によって変わるだけで物質の性質に拠らないということです。
 温度が変わればスペクトル分布の様子(つまり振動数への依存性)は変わっても良いのです。事実、温度が変わると分布の様子は変わります。そのようになっても温度が異なるのですから熱力学第二法則には矛盾しません。ところが、温度が等しいときの輻射のスペクトル分布が熱平衡にある物質(当然同じ温度)に拠って異なってはいけないと言っているのです。
 
 最も難しい所は次の定理の証明なのですが、ここも(黒体(空洞)輻射に限らず)任意のスペクトル分布の輻射でも物体と熱力学的に熱平衡にあれば証明できることです。

 ここの証明が本稿の目的でした。証明は本文を参照して下さい。
 以下の定理は上記の二つの結果を合わせて得られるものだと言うことに注意して下さい。

 次の定理において、黒体(空洞)輻射が関係してきます。


 上記の§84はこちらで引用しています。また、別稿「プランクの熱輻射法則」5.(2)1.[補足説明]で引用したこちらの図なども参照されたし。
 もっと詳細な説明は
   小長谷大介著「熱輻射実験と量子概念の誕生」北海道大学出版会(2012年刊)
   天野清 著 「熱輻射論と量子論の起源」大日本出版(1943年刊)
などをご覧下さい。

 

HOME  1.黒体  2.光の放射と吸収  3.キルヒホフの法則)()()()()()  4.参考文献  5.まとめ